pembahasan selanjutnya adalah

Pembahasan soal-soal Ujian Nasional (UN) tahun 2019 bidang studi Matematika SMA-IPA nomor 26 sampai dengan nomor 30 tentang:
- aturan sinus dan kosinus,
- transformasi geometri,
- statistika [penyajian data],
- statistika [ukuran pemusatan], dan
- statistika [ukuran letak].
Soal No. 26 tentang Aturan Sinus dan Kosinus
A. 100√7 km
B. 125√7 km
C. 150√7 km
D. 175√7 km
E. 200√7 km
Pembahasan
Perhatikan gambar berikut ini!

Berdasarkan gambar di atas, jarak PR dapat dicari dengan aturan kosinus berikut ini.
PR2 = PQ2 + QR2 − 2PQ ∙ QR cos Q
= 2002 + 3002 − 2 ∙ 200 ∙ 300 cos 60°
= 40000 + 90000 − 120000 ∙ 0,5
= 70000
PR = √70000
= 100√7
Jadi, jarak pelabuhan P le pelabuhan R adalah 100√7 km (A).
Perdalam materi ini di Pembahasan Matematika UN: Aturan Sinus dan Kosinus.
Soal No. 27 tentang Transformasi Geometri
A. y − x − 3 = 0
B. −x − y + 3 = 0
C. x − y − 3 = 0
D. 2x – y − 1 = 0
E. x − 2y + 1 = 0

Pembahasan
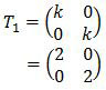
Misal T1 adalah dilatasi dengan faktor skala k = 2, matriks transformasinya adalah:

Sedangkan T2 adalah rotasi 90° berlawanan arah jarum (+90°), matriks transformasinya adalah:

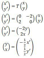
Komposisi dari transformasi T1 dilanjutkan T2 dirumuskan:

Sedangkan persamaan transformasinya dirumuskan:

Sehingga diperoleh:
y = −1/2 x‘
x = 1/2 y’
Bayangan garis dapat dicari dengan melakukan substitusi kedua persamaan di atas.
2y + 4x − 1 = 0
2(−1/2 x’) + 4 ∙ 1/2 y’ − 1 = 0
−x’ + 2y’ − 1 = 0
x’ − 2y’ + 1 = 0
Jadi, persamaan bayangan garis tersebut adalah x − 2y + 1 = 0 (E).
Perdalam materi ini di Pembahasan Matematika UN: Transformasi Geometri.
Soal No. 28 tentang Statistika [Penyajian Data]

Peningkatan tertinggi jumlah produksi pakaian Bu Rahmi terjadi pada bulan ….
A. April
B. Juni
C. Juli
D. September
E. November
Pembahasan
Peningkatan tertinggi terjadi bila terdapat selisih yang paling besar terhadap bulan sebelumnya. Mari kita periksa setiap opsi jawaban.
A. April : 151 – 112 = 39
B. Juni : 81 – 18 = 63
C. Juli : 133 – 81 = 52
D. September : 166 – 150 = 16
E. November : 153 – 87 = 66
Jadi, peningkatan tertinggi jumlah produksi pakaian Bu Rahmi terjadi pada bulan November (E).
Perdalam materi ini di Pembahasan Matematika UN: Statistika.
Soal No. 29 tentang Statistika [Ukuran Pemusatan]
| Skor | Frekuensi |
| 21 – 25 | 5 |
| 26 – 30 | 8 |
| 31 – 35 | 12 |
| 36 – 40 | 18 |
| 41 – 45 | 16 |
| 46 – 50 | 5 |
Modus data pada tabel adalah ….
A. 36,75
B. 37,25
C. 38,00
D. 38,50
E. 39,25
Pembahasan
Modus adalah nilai yang sering muncul atau nilai dengan frekuensi tertinggi.
Perhatikan penentuan besaran-besaran modus berikut ini!

Berdasarkan keterangan di atas diperoleh:
tb = 36 − 0,5 = 35,5
d1 = 18 − 12 = 6
d2 = 18 − 16 = 2
i = 26 − 21 = 5
Nah, mari kita hitung modus data tersebut!

Jadi, modus data pada tabel di atas adalah 39,25 (E).
Perdalam materi ini di Pembahasan Matematika UN: Statistika.
Soal No. 30 tentang Statistika [Ukuran Letak]

Kuartil ke-2 (Q2) dari data pada histogram di tersebut adalah ….
A. 71,5
B. 72
C. 72,5
D. 73
E. 73,5
Pembahasan
Kita hitung dulu jumlah datanya.
N = 2 + 6 + 7 + 20 + 8 + 4 + 3
= 50
2/4 N = 25
Berarti kuartil ke-2 terletak pada data ke-25. Perhatikan gambar berikut ini!

Besaran-besaran yang dpt diperoleh dari data tersebut adalah:
tb = 71 − 0,5 = 70,5
fk = 2 + 6 + 7 = 15
f = 20
i = 65 − 60 = 5
Kuartil ke-2 sebenarnya sama dengan median. Namun kita tetap menggunakan rumus kuartil saja.

Jadi, kuartil ke-2 (Q_2 ) dari data pada histogram di tersebut adalah 73 (D).
Perdalam materi ini di Pembahasan Matematika UN: Statistika.
Simak Pembahasan Soal Matematika IPA UN 2019 selengkapnya.
Dapatkan pembahasan soal dalam file pdf di sini.
Terimakasih
Semoga Bermanfaat