pembahasan selanjutnya adalah

Pembahasan soal-soal Ujian Nasional (UN) tahun 2019 bidang studi Matematika SMA-IPA nomor 16 sampai dengan nomor 20 tentang:
- turunan fungsi,
- aplikasi integral (nilai maksimum).
- aplikasi integral (gradien garis singgung), dan
- integral substitusi.
Soal No. 16 tentang Turunan Fungsi

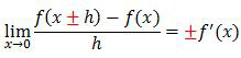
adalah ….
A. 2x2
B. 4x
C. 4x − 10
D. 4
E. −10
Pembahasan
Perhatikan rumus di bawah ini!

Dengan demikian hasil limit fungsi tersebut adalah turunan dari fungsi f(x).
f(x) = 2x2 − 10x + 12
f’(x) = 4x − 10
Jadi, hasil dari limit tersebut adalah 4x − 10 (C).
Perdalam materi ini di Pembahasan Matematika UN: Turunan Fungsi.
Soal No. 17 tentang Aplikasi Turunan (Nilai Maksimum)

Volume kotak terbesar yang dapat dibuat adalah ….
A. 2.000 cm3
B. 3.000 cm3
C. 4.000 cm3
D. 5.000 cm3
E. 6.000 cm3

Pembahasan
Perhatikan gambar berikut ini!

Berdasarkan gambar, volume kotak tersebut adalah:
V = s2t
= (30 − 2x)2 ∙ x
= (900 − 120x + 4x2)x
= 900x − 120x2 + 4x3
Agar volume kotak tersebut maksimum maka turunan pertama dari fungsi V harus sama dengan nol.
V’ = 0
900 − 240x + 12x2 = 0
x − 20x + 75 = 0 [dibagi 12]
(x − 5)(x − 15) = 0
x = 5 atau x = 15 (tidak mungkin)
Artinya, volume kotak akan maksimum jika x = 5 cm. Sehingga,
V = (30 − 2x)2 ∙ x
= (30 − 2 ∙ 5)2 ∙ 5
= 400 ∙ 5
= 2000
Jadi, volume kotak terbesar yang dapat dibuat adalah 2.000 cm3 (A).
Perdalam materi ini di Pembahasan Matematika UN: Aplikasi Turunan.
Soal No. 18 tentang Aplikasi Turunan (Gradien Garis Singgung)
A. 9x − 3y + 14 = 0
B. 8x − 24y + 39 = 0
C. 3x − y − 6 = 0
D. 3x + y − 12 = 0
E. x − 3y + 6 = 0
Pembahasan
Gradien garis 3x + y − 2 = 0 adalah:
m1 = −a/b
= −3
Sedangkan gradien garis singgung kurva f(x) = √(2x + 3) adalah turunan kurva tersebut.
m2 = f’(x)
= 2 ∙ ½ (2x + 3)−1/2
= 1/√(2x + 3)
Antara garis singgung kurva dan garis saling tegak lurus sehingga berlaku hubungan:
m1 ∙ m2 = −1
m2 = −1/m1
= −1/(−3)
= 1/3
Kita sudah mendapatkan gradien garis singgung kurva (m2). Sekarang kita lanjutkan untuk mencari titik singgung kurva tersebut.
m2 = 1/3
1/√(2x + 3) = 1/3
√(2x + 3) = 3
2x + 3 = 9
2x = 6
x = 3
x = 3 ini adalah absis titik singgung. Mari kita cari ordinat titik singgungnya dengan melakukan substitusi ke kurva f(x)!
f(x) = √(2x + 3)
f(3) = √(2∙3 + 3)
= 3
Sehingga titik singgung kurva tersebut adalah (3, 3).
Persamaan garis singgung kurva dirumuskan:
y − y1 = m2 (x − x1)
y − 3 = 1/3(x − 3)
3y − 9 = x − 3 [dikalikan 3]
3y − x − 6 = 0
x − 3y + 6 = 0
Jadi, persamaan garis singgung kurva tersebut adalah opsi (E).
Perdalam materi ini di Pembahasan Matematika UN: Aplikasi Turunan.
Soal No. 19 tentang Aplikasi Turunan (Gradien Garis singgung)
A. y + 3x − 4 = 0
B. y + 3x − 2 = 0
C. 3y − x + 2 = 0
D. 3y − x − 2 = 0
E. 3y − x − 4 = 0
Pembahasan
Gradien garis singgung kurva f(x) = x3 − 3x2 + 3 adalah:
m1 = f’(x)
= 3x2 − 6x
Substitusi absis x = 1 diperoleh:
m1 = 3 ∙ 12 − 6∙1
= −3
Karena garis dan garis singgung kurva saling tegak lurus maka:
m1 ∙ m2 = −1
m2 = −1/m1
= −1/(−3)
= 1/3
Dengan demikian, persamaan garis tersebut adalah:
y − y1 = m2 (x − x1)
y − 1 = 1/3(x − 1)
3y − 3 = x − 1 [dikalikan 3]
3y − x − 2 = 0
Jadi, persamaan garis tersebut adalah opsi (D).
Perdalam materi ini di Pembahasan Matematika UN: Aplikasi Turunan.
Soal No. 20 tentang Integral Substitusi
A. 2(2x2 − 3x − 2)4 + C
B. ½ (2x2 − 3x − 2)4 + C
C. ¼ (2x2 − 3x − 2)4 + C
D. (2x2 − 3x − 2)2 + C
E. ⅔ (2x2 − 3x − 2)4 + C
Pembahasan
Integral di atas termasuk integral substitusi. Cirinya, terdiri dari dua fungsi dengan derajat (pangkat tertinggi) berselisih satu.
Adapun cara penyelesaiannya sebagai berikut:

Jadi, hasil dari integral tersebut adalah (D).
Perdalam materi ini di Pembahasan Matematika UN: Integral Aljabar.
Simak Pembahasan Soal Matematika IPA UN 2019 selengkapnya.
Dapatkan pembahasan soal dalam file pdf di sini.
Terimakasih
Semoga Bermanfaat