SOAL DAN PEMBAHASAN UN FISIKA 2018 SMA

Posted on

Pembahasan Selanjutnya

Soal fisika UN 2018 no. 1

Pada saat
melakukan praktikum pengukuran dengan menggunakan jangka sorong, seorang siswa
mengukur dimensi balok tinggi, panjang, dan lebar dengan hasil pengukuran
sebagai berikut:


volume tersebut sesuai kaidah angka penting adalah….

PEMBAHASAN:

Panjang = 4,29 (3 angka penting)
Lebar =5,66 (3 angka penting)
Tinggi =7, 26 (3 angka penting)
rumus volume:
V = p x l x t = 176, 2829
Jawabanya: A : 176. karena sesuai aturan angka penting bahwa dalam perkalian hasilnya mengikuti jumlah angka penting paling sedikit. Jadi kita hanya menggunakan 3 ap.

Soal
fisika UN 2018 no. 2
Sebuah benda
bergerak dari E menuju F dan berakhir di G. Gambar di bawah ini, Yang menunjukkan perpindahan sebesar
10 satuan adalah.

PEMBAHASAN:

perpindahan adlah besaran vektor, jadi untuk mencari perpindahan yang terjadi dapat diselesaikan dengan analisis vektor. dari grafik tersebut perpindahan dihitung dengan menarik garis lurus dari start sampai finish (dari titik E ke titik G)

grafik A; perpindahan bernilai 10 satuan

grafik B : perpindahan bernilai 6 satuan

grafik C : perpindahan bernilai 8 satuan

grafik D : perpindahan bernilai 8 satuan

grafik E : perpindahan bernilai 8 satuan

Jawab: A 

Sebuah mobil
balap A sedang mengejar mobil balap B dengan kelajuan konstan 60 m.s-1
Mobil balap A tertinggal dari mobil balap B sejauh 600 m di lintasan lurus,
Ketika litu mobil balap B melaju dengan kelajuan konstan 30 m/s , maka waktu
Yang dibutuhkan -untuk menyusul mobil balap B adalah .
E. 12 sekon
Pembahasan:

t = 20 sekon 

Soal fisika UN 2018 no.4
Dua buah Roda
A dah B dengan jumläh geriginya berturut-turut 20 dan 50 diletakkan bersinggungan
sehingga masing-masing roda gigi berpasangan. Jika roda A berputar 50 kali
dalam satu sekon, kecepatan anguler roda B adalah .

Artkel Terkait  Rangkuman Materi & 44 Contoh Soal Reaksi Kesetimbangan Dan Pembahasannya

A. 100π rad.s-1

C. 50π rad. s-1

E. 40π rad. s-1
Pembahasan:

Saat
bersinggungan berlaku:

ωb = – 20
putaran tiap detik = 20 . 2π rad/s = 40 π rad/s 
Sebuah
pesawat Yang sedang terbang mendatardengan laju 300 m/S pada ketinggian 80
meter menjatuhkan bom. Bom tcrsebut tepat mencapai sasaran pada jarak mendatar
adalah ..

A. 

800 meter

E. 1600 meter

Pembahasan:

Soal fisika UN 2018 no.6

jawab: B
Pembahasan:

Agar
keranjang tepat akan bergerak, besar F harus sama dengan gaya gesek

m = 30 / 4 =
7,5 kg ( jadi keranjang berisi gabungan pisang dan bola basket)





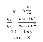
Soal fisika UN 2018 no.7

Percepatan
gravitasi di permukaan planet X adalah 12 kali percepatan gravitasi di
permukaan bumi. Jika jari-jari planet X adalah 1/2 kali jari-jari bumi, maka
massa planet X adalah ….
E. 8 kali
massa bumi



jawab: B
pembahasan:

Soal fisika
UN 2018 no.8

Lima gaya bekerja
pada bujursangwar dengan sisi 10 cm seperti ditunjukkan pada gambar berikut:

Resultan
momen gaya dengan poros di titik perpotongan diagonal bujur sangkar adalah…..


Pembahasan:

τ = F . r sin
α = 10.5+4.5+10.5+ 5
√2 . 5 . 1/2 √2 – 9.5 = 145 – 45 = 100 cm . N = 1 m.N

(keternagan: F = gaya ; r = lengan torsi atau jarak F ke pusat rotasi secara tegak lurus)

Sebuah
silinder pejal (I = ½ MR2 ) bermassa 8 kg menggelinding tanpa Slip
padasuatu bidang 
datar dengan
kecepatan 15 m/s . Energi kinetik total silinder adalah 

Ek = ½ m. v2 ( 1 +
k) = ½ . 8 . 152 (1 + ½) = 4. 225 . 3/2 = 1350 joule

(keterangan: k adalah koefisien momen inersia benda tegar atau I )

Soal UN fisika TAHUN 2018 no.10
Perhatikan gambar berikut ini! Sebuah
batang bermassa 1,5 kg yang salah satu ujungnya d
ipasang engsel tegak lurus
dinding dan sebuah lampion digantungkan pada jarak tertentu 
Dari engsel.

Besar gaya tegangan tali, agar batang berada dalam keseimbangan adalah

E. 37,5N

Artkel Terkait  Pembahasan Numerikal No. 26 - 30 TKPA SBMPTN 2016 Kode Naskah 321

Στ = 0

T . sin Ө . 0,8 = w lampion . 0,6 + wbatang . 0,8
T . 0,6 . 0,8 = 20 . 0,6 + 15 . 0,4
T . 0,48 = 18


T = 18/0,48 = 37,5 N


Soal un fisika tahun
2018 No. 11

Perhatikan pernyataan-pernyataan berikut ini:
1. Mengulang prosedur menentukan garis pada kertas karton
dari titik gantung yang berbeda, dan menandai perpotongan dua garis sebagai
titik berat kertas karton.


2. Mengikatkan ujung-ujung benang pada jarum dan beban dan
menancapkan jarum pada kertas karton.

3. Menarik garis sepanjang titik-titik pada kertas karton.



4. Menandai titik-titik sepanjang benang pada kertas karton.



5. Menggantung kertas karton dengan memegang pangkal jarum.



untuk menentukan letak titik berat sebuah kertas karton yang
tidak beraturan, di antara urutan langkah yang benar adalah….



jawab: D


                   



Soal UN fisika 2018 no 12



Perhatikan grafik hubungan masa jenis (ρ) dan volume (V)
berbagai gas berikut ini!


Pasangan gas yang memiliki massa sama adalah ...













E. (3) dan (5)


pembahasan:

1. 1,6

3. 1,6

jawab: B (1 dan 3)









Soal UN fisika 2018 no 13


Sebuah kapal evakuasi sedang berusaha mengangkat kotak peti
kemas bermassa total 4.500 kg yang jatuh ke laut. Kotak tersebut berukuran
panjang 2 meter, lebar 1,5 meter dan tinggi 1 meter. Massa jenis air laut saat
itu 1 .025 kg.m
-3 dan percepatan gravitasi 10 m.s-2, maka
besar gaya minimal yang dibutuhkan untuk mengangkat benda dari dasar laut ke
permukaan a
dalah











E. 50000 N
jawab: A
pembahasan;
F = W – Fapung
F = m . g – ρair . g . V
F = 45000 – 10250 . 3 = 14250 N 
Soal UN fisika 2018 no 14

Suatu pembangkit listrik tenaga air menggunakan turbin yang
diputar oleh air dari bendungan yang jatuh dari ketinggian 90 m. Pembangkit
listrik tersebut menghasilkan daya 9 Mwatt, Jika efisiensi pembangkit 50%, maka
debit air pada pembangkit tcrsebut adalah ….

Soal UN fisika 2018 no 15


Dari tabel di atas, usaha yang dilakukan benda yang terbesar ke
yang terkecil adalah…..


baca juga:

BACA SELENGKAPNYA:


baca juga:
> pembahasan UN FISIKA 2019


Semogaa bermanfaat

Leave a Reply

Your email address will not be published. Required fields are marked *