SOAL DAN PEMBAHASAN FLUIDA STATIS

Posted on

Pembahasan Selanjutnya

soal dan pembahasan FLUIDA STATIS (sub bab: hukum Archimedes, hukum pascal dan tekanan hidrostatis)

1.   Gaya
Archimedes yang bekerja pada benda saat dimasukkan ke dalam fluida ditentukan
oleh ….

a.
massa benda dan keadaan benda di cairan

b.
volume benda dan keadaan benda di cairan

c.
volume benda dan massa jenis cairan

d.
massa benda dan massa jenis

e.
massa cairan dan kedalaman benda di cairan

sesuai dengan rumus gaya
archimedes:
F
= ρ.g.Vbenda yang tercelup
Vbenda yang tercelup
= volume banda yang tercelup di dalam fluida/ cairan

2.      Sepotong besi bermassa 4 kg dan massa jenisnya 8 gr/cm³ dimasukkan ke dalam
air yang massa jenisnya 1 gr/ cm³. 
Di dalam air berat besi
tersebut seolah-olah akan hilang sebesar ….

a. 5 N
      
            c. 20 N
           e. 40 N

b. 15 N
                
d. 35 N

berat yang seakan-akan hilang
= berat benda – gaya archimedes
= m.g – ρ.g.Vbenda yang tercelup
= 4.10 – 1000.10.(4/8000)

3.      Sepotong
kaca di udara memiliki berat 25 N. Jika dimasukkan ke dalam air beratnya
menjadi 15 N. Bila massa jenis air adalah 10³ kg/m³ dan percepatan gravitasinya
10 m/s² maka massa jenis kaca adalah ….

a. 1,5.
10
³ kg/m³

b. 2,5.
10
³ kg/m³

c. 3,5.
10
³ kg/m³

d. 4,5.
10³ kg/m³

Gaya Archimedes = berat di
udara – berat di air
FA = Wdiudara – W di
fluida
ρ.g.Vbenda yang tercelup
 = 25 – 15
——————————————————
4. Sebuah
gabus dimasukkan dalam air ternyata 75 % volume gabus tercelup dalam air, maka massa jenis
gabus adalah ….

a. 1,75
gr/c³         d. 0,50 gr/ cm³

Artkel Terkait  158 Sinonim Pacak dalam Bahasa Indonesia

b. 1,00
gr/c³         e. 0,25 gr/ cm³

c. 0,75
gr/cm³

pembahasan:

 ρ(air).g.V(benda yang
tercelup)
 = ρ (benda).g.V (benda)
1000 . 10 . 0,75 V = ρ .
10 . V
ρ  = 750 kg/m³ =
0,75 gr/cm³
5.  Sebuah
ban mobil berisi udara 
digunakan sebagai pengapung di dalam air,
volume ban 0,1 m
³ dan massanya 1 kg.
jika massa jenis air 1 gr/cm³ dan percepatan gravitasi g = 10 m/s², maka ban
dapat menahan dan mengapungkan beban maksimum sebesar ….

a. 1001
kg             d. 100 kg

b. 1000
kg             e. 99 kg

pembahasan:

gaya achimedes air = berat ban + berat beban

6.      Alat
yang bukan merupakan penerapan hukum Archimedes adalah …

a.
kapal laut

b.
galangan kapal

c.
balon udara

d.
hidrometer

Semprot obat nyamuk
menggunakan prinsip Bernaulli

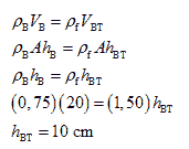
7. Balok yang tingginya 20 cm dan
memiliki massa jenis 0,75 gram/cm3 mengapung di atas zat cair yang
memiliki massa jenis 1,5 gram/cm3. Tinggi balok yang berada di
permukaan zat cair adalah ….

Diketahui

Jawab:

Tinggi balok yang
muncul:

Jadi, tinggi balok yang
muncul adalah 10 cm.

8. Sebuah
benda mengapungdi atas air dengan massa jenis air 1 gram/cm3. Jika
7/10 bagian dari benda berada di bawah permukaan air, maka massa jenis benda
adalah … gram/cm3.

A.  
0,5

B.  
0,6

C.  
0,7

D.  
0,8

E.  
1,3

Jawaban: C

Diketahui:

Ditanyakan: ρB

Jawab:

Jadi, massa jenis benda adalah 0,7 gram/cm3.

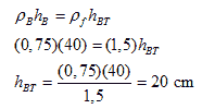
9. Balok
yang tingginya 40 cm dan massa jenisnya 0,75 gram cm
-3 mengapung di
atas zat cair yang massa jenisnya 1,5 gram cm
-3, maka tinggi balok
yang muncul di permukaan zat cair adalah ….

Artkel Terkait  Pembahasan Biologi No. 46 - 50 TKD Saintek SBMPTN 2015 Kode Naskah 502

A.  
10 cm

B.  
20 cm

C.  
40 cm

D.  
60 cm

E.  
80 cm

Diketahui:

Ditanyakan: hmuncul
?

Jawab:

Ketinggian balok yang
tercelup di dalam zat cair dapat ditentukan dengan perhitungan berikut.

Tinggi balok yang
muncul di atas permukaan zat cair dapat ditentukan dengan perhitungan:

Jadi,
tinggi balok yang muncul di permukaan zat cair adalah 20 cm.



10. Gambar di bawah ini menunjukkan
sebuah tabung U yang berisi zat cair dan diberi pengisap (berat dan gesekan
diabaikan).
Agar pengisap tetap seimbang , maka beban F2 yang harus
diberikan adalah ….


a.
150 N

b.
400 N

c. 600
N

d.
1200 N

e.
2400 N


jawab: C


pembahasan:

dengan hukum pascal

F1/F2 = A1 / A2

20/F= 30/900

F2 = 600 N

soal fluida statis no. 11

sebuah arloji tertulis water resist 5 Bar. jika tekanan atmosfer sebesar 1 atm ( 1 atm = 1,01 105Pa) berapakah daya tahan atau kedalaman maksimal saat berada di dalam air tawar….

A. 10 meter

B. 100 meter

C. 90 meter

D. 9,8 meter

E. 8,99 meter

jawab:
pembahasan soal:

5 bar = 5 10Pa

⍴ air = 1000 kg/m^3

rumus tekanan mutlak hidrostatis 

P = Po + ⍴ . g . h

5 105 = 1,01 10+ 1000 . 10 . h

5 105 – 1,01 10= 1000 . 10 . h

8,99 . 10= 104 . h

h = 89,9 meter

soal fluida statis no. 12 (hukum dasar hidrostatis)

perhatikan gambar bejana berhubungan berikut yang diisi air dan minyak

jika massa jenis minyak 800 kg/m^3. maka tinggi air pada pipa kanan (h) sebesar… cm

A. 8

B. 16

C. 3,2

D. 6,4

E. 10

jawab: D

pembahasan:

⍴ . g . h = ⍴ . g . h

⍴ .  h = ⍴  . h

800 . 8 = 1000 . h

h = 6,4 cm 

soal fluida statis No. 13 (hukum dasar hidrostatis)

pipa U diisi tiga cairan dengan tinggi seperti berikut

massa jenis caian x = 0,8 gr/cm^3 dan Z = 0,5 gr/cm^3. jika tinggi air kanan diukur dari batas bawah cairan merah adalah 4 cm. tinggi caian Z diukur dari batas atas atas air adalah…
A. 2,25 cm

B. 4,4 cm

C. 5 cm

D. 6 cm

E. 10 cm

Jawab: B

Pembahasan :

P di kiri = P dikanan

ρ . h = ρ.h + ρ.h

0,8 . 8 = 1. h + 0,5. 4

6,4 = h + 2

h = 4,4 cm


Semogaa bermanfaat

Leave a Reply

Your email address will not be published. Required fields are marked *