soal asli fisika UTBK SBMPTN 2021 dan pembahasan | TKA saintek gelombang 1

Posted on

Pembahasan Selanjutnya

soal dan pembahasan fisika UTBK sbmptn 2021

berikut adalah soal fisika UTBK SBMPTN tahun 2021 gelombang 1

Soal UTBK 2021 fisika dan pembahasan

1. sebuah balok bermassa 2,0 kg bergerak pada sebuah bidang data licin dengan kecepatan 1,0 m/s. selanjutnya, balok menuruni sebuah bidang miring dengan kemiringan 30 dan mengalami gaya gesek sebesar 7,0 N. setelah sampai di dasar bidang miring, balok meluncur pada bidang datar licin pada kecepatan 2,0 m/s. jika percepatan gavitasi pada tempat tersebut 10 m/s2. Kedua bidang datar berbeda ketinggian…

(A) 0,1 m

(B) 0,2 m

(C) 0,3 m

(D) 0,4 m

(E) 0,5 m

Jawab: E

Pembahasan:

Rumus usaha dan energi

W = F.S

dan

W = ΔEk

ΣF . S = 1/2 . m(v2² – v1²)

(m.g.sin θ – fgesek) . S = 1/2 . 2(2² – 1²)

(20.1/2 – 7 ) S = 3

3 S = 3

S = 1 meter

mencari h dengan rumus sin 30

h = S . Sin 30

h = 1 .0,5 = 0,5 meter

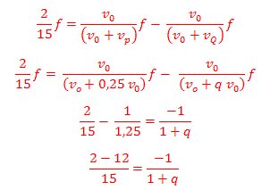
2. Seorang pendengan sebut saja O berada di tengah diantara dua sumber bunyi yaitu P dan Q yang berada pada suatu garis lurus sumbu x, P berada dusebelah kiri O dan Q berada disebelah kanan P. saat diam P dan Q menghasilkan bunyi yang sama yaitu sebesar f. jika kemudian P bergerak kekiri dengan kelajuan konstan sebesar 0,25 vo dan Q bergerak ke kanan dengan kelajuan qvo. menurut o terjadi layangan bunyi sebesar 2/15 f, jika vo adalah cepat rambat bunyi di udara maka kecepatan Q sebesar…. Vo m/s

(A) 0,1

(B) 0,2

(C) 0,3

(D) 0,4

(E) 0,5

jawab: E
pembahasan:

efek dopler:
vP bernilai positif karena menjauhi pendengar o
vQ bernilai positif kaena menjauhi pendengar o
rumus layangan: 

 fL = fp – fQ

-10 – 10q = -15

-10 q = -5

q = 0,5

3. sebuah bejana berhubungan pipa U diisi dua buah cairan dengan massa jenis yang berbeda yaitu A dan B. jika massa jenis cairan A adalah 1000 kali lipat dari massa jenis udara dan setengah kali dari massa jenis caian B. saat ujung pipa terbuka B ditiup mendatar denga laju udara v menyebabkan ketinggian kolom cairan seperti gambar. Jika ha – 2 hb = h cm. besar v sebesar…. m/s

(A) 100√h)
(B) 200√(-2h)
(C) 100√(-2h)
(D) 200√(-h)
(E) 10√(-2h)

jawab: C

Pembahasan :

– hukum bernoulli untuk menghitung tekanan udara pada ujung atas kedua pipa


P0A+ 1/2ρνA² + ρghA=
P0B + 1/2ρνA² + ρgh 

P0A = P0B + 1/2 . ρ . ν²

– hukum dasar hidrostatis

Pkiri = Pkanan

P0A+ ρghA= P0B + ρghB

Artkel Terkait  Mengapa seorang pesilat harus memiliki kemampuan membaca taktik lawan

P0B+ 1/2.ρν² + (ρgh)A P0B+ (ρgh)B

1/2 . ρ . v² + 10000ρ.hA = 2000ρ.10.hB

1/2 . v² + 10000hA = 20000.hB

1/2 v² = 20000hb – 10000ha

 1/2 v² = -10000 (ha – 2hb)

1/2 v² = – 10000 h

v² = -20000h

v= 100√(-2h)

4. gas ditomik sebanyk n mol mengalami poses temodinamika pada tekanan tetap b Pa dai keadaan 1 ke keadaan 2, dengan volume V1 = a m^3 dan V2 = 4 V1. dalam proses tersebut, gas menyerap kalor sebesar …. J

(A) 10,5 ab

(B) 11 ab

(C) 11,5 ab

(D) 12 ab

(E) 12,5 ab

jawab: A

pembahasan:

Hukum 1 termodinamika

Q = W + ΔU

Mencari usaha

W = P . (V2 – V1)

W = b . (4a – a)

W = 3ab

Mencari perubahan energi dalam

ΔU = 5/2 . P  (V2 – V1)

ΔU = 2,5 . 3ab

ΔU = 2,5 ab

kembali ke rumus Q

Q = W + ΔU

Q = 3ab + 7,5 ab

Q = 10,5 ab

5. sebuah bandul matematis sederhana dipasang pada langit langit kabin sebuah wahana ruang angkasa. Panjang tali bandul adalah 1 m. pada suatu saat wahana sedang jatuh dari benda angkasa apapun dan dipercepat searah dengan vektor normal pada lantai kabin. jika waktu itu bandul diayun dengan frekuensi 0,48 Hz. 

jika tali bandul diganti dengan tali lain dengan panjang 2,25 m. Frekuensi bandul itu setelah diganti adalah…

(A) 0,32

(B) 0,42

(C) 0,54

(D) 0,68

(E) 0,74

jawab: A

pembahasan:

  f1 : f2 = √L2 : √L1

0,48 : f2 = √2,25 : √1

0,48 : f2 = 1,5 : 1

f2 = 0,48 : 1,5

f2 = 0,32

 6. Sebanyak n gas monoatomik dalam wadah yang volumenya tetap mengalami proses termodinamika. jika gas menyarap kalor sebesar Q Joule dan terjadi proses perubahan tekanan sebesar a Pa. volume wadah tersebut adalah…m3

jawab: 
pembahasan: 
Q = W + ΔU 
Q = 0 + 3/. ΔP . V 
Q = 3/2. a . V 
V = 2Q/3a 

7. muatan titik A berada di x = 0 cm dan muatan titik B berada di x = 60cm. sebuah muatan titik C diletakkan di titik x = 12cm. jika muatan titik A 2 μC dan gaya listrik yang dialami muatan C sama dengan nol, muatan titik B sama dengan…μC.
Pembahasan :
QA . RBC2 = QB . RAC2 
2 . 48² = QB . 122 

2 . 4² = Q. 1²

QB= 32 μC

 UTBK 2021 fisika 
8. Sebuah benda bergerak lurus dengan kecepatan tetap. Jika x dalam tabel di samping menunjukkan posisi benda trap saat t, kecepatan benda tersebut adalah … m/s.

(A) 1,0
(B) 1,5
(C} 2,5
(D) 5,0
(E) 7,5
jawab: B

pembahasan:

v = s/t

v = 1,5/1 = 1,5

Artkel Terkait  https://tanya-tanya.com/rangkuman-materi-contoh-soal-teks-cerpen-pembahasannya/

soal fisika UTBK 2021 SBMPTN
9. Dua balok bermassa m = 1,0 kg dan mt = 2,0 kg saling terhubung dengan seutas tali yang bergerak tanpa slip melalui sebuah katrol dengan momen inersia 0,01 kgm’. ]ika balok bergerak dengan percepatan linear 2,5 m/s² dan percepatan gravitasi 10 m/s², Jari-jari katrol adalah … cm.
(A) 5,0
(B) 6,0
(C) 8,0
[D] 9,0
[E) 10,0

jawab: E

pembahasan:

tegangan tali pada balok 2 kg

T = m (g-a)

T = 2 (10 – 2,5)

T = 2 . 7,5 = 15 N

tegangan tali pada balok 1 kg 

T = m (g+a)

T = 1 (10 + 2,5)

T = 12,5

tinjau katrol

τ = I α

(T₂ – T₁).R = I . (a/R)

(15 – 12,5) . R² = 0,01 . 2,5

R² = 0,01

R = 0,1 m = 10 cm

soal fisika UTBK 2021 tentang realativitas
10. Sebuah partikel bermassa m bergerak dengan kelajuan 0,6c Momentum linier partikel sama dengan…… moc. (c cepat rambat cahaya dalam vakum)
A. 0,25
B. 0,50
C. 0,75
D. 1,00
E. 1,25

Jawab:
Pembhasan:
v = 0,6 c
hasil kebalikan tetapan laplace
γ’ = 0,8
massa relativ setelah begerak
m = mo/γ’
m = mo/0,8
m = 5/4 . mo
momentum relativ setelah bergerak

P = m.v

P = 5/4 . mo . 0,6 c

P = 3/4 . mo . c

P = 0,75 mo.c



variasi soal yang lain tentang relativitas energi UTBK 2021 SBMPTN
11. Sebuah patikel bermassa mo. Usaha yang diperlukan agar partike ltersebut memiliki enrgi total 1,5 moc2 dari keadaan diam adalah ….mo.c
(A) 1,50
(B) 1,25
(C) 1,00
(D) 0,75
(E) 0,5
Jawab: (A)
Pembahasan:
W = E – Eo
W = 1,5 mo.c – mo.c
W = 0,5 mo.c

Soal UTBK 2021 : tentang elastisitas 3 dimensi
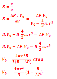
12. Sebuah bola pejal tenggelam ke dasar laut sehingga jari-jarinya berubah menjadi r akibat perubahan tekanan ΔP. Jika modulus bulk bola sebesar B, volume bola mula-mula adalah ….

Jawab:

Pembahasan:

Rumus modulus bulk:

No. 13 soal UTBK 2021 tentang foto listrik

Pada percobaan efek foto listrik diperoleh potensial penghenti Vsi untuk penyinaran dengan panjang gelombang 500 nm dan potensial penghenti 2,0 V untuk penyinaran dengan panjang gelombang 400 nm. Jika panjang gelobang ambang untuk logam target sama dengan 600 nm, nilai Vsi sama dengan .. V

(A) 1
(B) 0,8
(C) 0,6
(D) 0,5
(E) 0, 2

Jawab: C
Pembahasan:
Rumus potensial henti pada efek foto listrik

e.Vo = hc {(1\λ) – (1/λo)}

e.Vo : {(1/λ) – (1/λo)} = hc

karena nilainya tetap, maka bisa kita hitung:

e.Vsi : {(1/λ) – (1/λo)} = e.Vo : {(1/λ) – (1/λo)}
e.Vsi : { (1/500) – (1/600) } = e.2 : { (1/400) – (1/600) }

Vsi : ( 1/3000 ) = 2 :  ( 2/2400)

Vsi . 3000 = 2 . 1200

Artkel Terkait  Deskripsi Jurusan-jurusan Pertanian dan Peternakan di Perguruan Tinggi

Vsi = 2400/3000

Vsi = 0,6


Soal fotolistrik II UTBK 2021 

14. pada suatu pecobaan efek foto listik diperoleh nilai hc/e = 12,4 . 10 -7 jm/C dengan h tetapan planck, c kelajuan cahaya dalam vakum dan e muatan elektron. Energi kinetik maksimum yang mungkin dimiliki elektron yang lepas sama dengan 1,03 eV. ketika percobaan dilakukan dengan foton berpanjang gelombang 400 nm. Penjng gelombang ambang untuk logam target sama dengan …. nm
(A) 450
(B) 500
(C) 550
(D) 600
(E) 650

Jawab:
Pembahasan:
Ek maks = 1,03 eV
Rumus energi kinetik maksimum efek foto listrik
Ek maks = hc {(1\λ) – (1/λo)}

1,03 e = hc {(1\400.10-9) – (1/λo)}

1,03 = hc/e {(1\400.10-9) – (1/λo)}

1,03 = 12,4 . 10
-7 {(0,25 . 107) – (1/λo)}

0,083 . 107 = (0,25 . 107) – (1/λo)

0,083 . 107 = (0,25 . 107) – (1/λo)

-0,167 . 107 = – (1/λo)

λo = 599 . 10 -9 m = 600 nm

No 15 soal UTBK 2021 tentang gaya magnetik atau loentz
Proyeksi gerak sebuah partikel bermuatan negatif -q dan bermassa m pada bidang xy tampak pada gambar. Di ruang itu terrdapat medan magnetik tetap B searah sumbu z negatif, medan listrik tetap E searah sumbu z negatif, dan komponen kecepatan vz > 0. Komponen kecepatan pada bidang xy dan sifat vz adalah .., .

(A) berlawanan arah gerak jarum jam dan vz tidak konstan

(B) berlawanan arah gerak jarum jam dan vz konstan
(C) searah gcrak jarum dan vz tidak konstan
(D) searah gerak jarum jam dan vz konstan
(E) spiral dan vz tidak konstan

Jawab: C
Arah gaya loentz / kaidah tangan kanan:
– Gaya Lorentz F = telapak tangan (untuk muatan positif) dan punggung tangan untuk muatan negatif
– Medan magnet B = 4 jari
– Aah gerak muatan / Kecepatan v = jempol
Pembahasan arah:
– 4 jari masuk kebidang kertas karena B searah Z negatif
– punggung tangan ke kanan karena lintasan / lingkaan berada disebelah kanan (sumbu x positif)
– jempol atau v otomatis akan mengarah ke atas (y positif), sehingga lintasanya searah jarum jam seperti tampak pada gambar berikut:

Besar vz : tidak konstan karena ada gaya listrik dan gaya lorentz yang berturut turut dihasilkan oleh E dan B


Semogaa bermanfaat

Leave a Reply

Your email address will not be published. Required fields are marked *