momentum, impuls dan tumbukan part 1 (rangkuman materi dan contoh soal)
by: fisika sekolah madrasah blog.
rumus momentum
p = m . v
IMPULS ( I )
I = m . Δv = m . (v – v’)
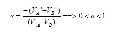
koefisien restitusi ( e )
– rumus koefisien untuk bola yang memantul dari ketinggian h

– rumus koefisien restitusi untuk benda yang kecepatannya (v) berubah setelah pantulan

TUMBUKAN
Jenis – jenis tumbukan:
1. Tumbukan lenting sempurna
Berlaku :
a. Hukum Kekekalan Momentum
mAVA + mBVB = mAVA’ + mBVB’
b. Hukum Kekekalan Energi Kinetik
1/2 mA . VA2 + ½ mBVB2 = ½ mAVA’ + 1/2 mBVB’
c. Koefisien Restitusi

trik dalam soal:untuk tumbukan lenting sempurna gunakan dua rumus berikut:
m1.v1 + m2.v2 = m1 .v1‘ + m2 .v2‘
v2 – v1 = v1‘ – v2‘
2. Tumbukan lenting sebagian
Berlaku :
a. Hukum Kekekalan Momentum
mA VA + mB VB = mA VA’ + mB VB’
b. Koefisien Restitusi

3. Tumbukan tidak lenting / plastis
a. Hukum Kekekalan Momentum
mA VA + mB VB = (mA + mB)V’
b. Koefisien Restitusi
trik dalam penyelesaian soal: Ciri tumbukan tidak lenting adalah setelah tumbukan kedua benda menempel atau bergerak dengan laju yang sama dan e = 0. sehingga tidak perlu menggunakan rumus koefisien restisusi
mA : mB = massa benda A dan B
VA : mB = Kecepatan benda A dan B sebelum tumbukan
VA’ : VB2 = Kecepatan benda A dan B sesudah tumpukan
V’ = Kecepatan kedua benda setelah tumbukan
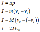
Bola bermassa M bergerak dengan kecepatan v menabrak dinding kemudian terpantul dengan besar kecepatan yang sama tapi arahnya berlawanan. Besar impuls yang diberikan oleh dinding pada bola adalah ….
Jawaban:
Jadi, impuls yang diberikan dinding pada bola adalah .2 mvo
Dua buah benda bergerak seperti gambar di samping. Jika kemudian terjadi tumbukan lenting sempurna sehingga kecepatan benda A dan benda B setelah tumbukan berturut-turut 10 m/s dan 20 m/s maka kecepatan benda B sebelum tumbukan adalah … m/s.
E. 10
Jawaban: E
Diketahui:
Jawab:

Jadi, kecepatan benda B sebelum tumbukan adalah 10 m/s.
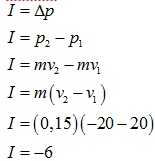
Sebuah bola pada permainan softball bermassa 0,15 kg dilempar horizontal ke kanan dengan kelajuan 20 m/s. Setelah dipukul, bola bergerak ke kiri dengan kelajuan 20 m/s. Impuls yang diberikan oleh kayu pemukul pada bola adalah ….
Jawab:
Jadi, impuls yang diberikan kayu pemukul pada bola adalah 6 Ns. Tanda negatif pada hasilnya menyatakan arah pergerakan bola ke kiri.
Perhatikan gambar dua bola yang bergerak berikut ini
Massa A = 4 kg dan massa B = 10 kg. Jika kemudian bola bertumbukan lenting sempurna dan kecepatan bola B setelah tumbukan 4 ms-1, maka kecepatan bola A setelah tumbukan adalah ….
Diketahui:
Jawab:
Jadi, kecepatan bola A setelah tumbukan adalah 5 m/s.
Sebutir peluru yang massanya 0,01 kg ditembakkan pada suatu ayunan balistik bermassa 1 kg, sehingga peluru bersarang di dalamnya dan ayunan naik setinggi 0,2 m dari kedudukan semula. Jika g = 10 m/s², kecepatan peluru yang ditembakkan adalah….
Ayunan balistik yang ditumbuk dengan peluru ditunjukkan seperti pada gambar.
maka pada peristiwa ini berlaku hukum kekekalan energi mekanik.
Kecepatan peluru dan bandul ketika mengayun sebesar 2 m/s. Dalam peristiwa ini terjadi tumbukan tidak lenting sama sekali sehingga berlaku persamaan seperti berikut.
Jadi, kecepatan peluru sebesar 202 m/s.
untuk materi dan soal lebih lengkap tentang momentum impuls tumbukan bisa dipelajari pada link berikut:
join grub diskusi fisika di fb: soal fisika fsm blog