pembahasan selanjutnya adalah
- aplikasi turunan,
- integral,
- permutasi dan kombinasi,
- peluang kejadian, serta
- deret geometri tak hingga.
Soal No. 11 tentang Aplikasi Turunan

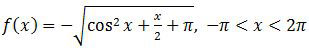
turun pada interval ….
A. 0 < x < 5π/12
B. 0 < x < π/12
C. π/6 < x < π/3
D. 5π/12 < x < 7π/12
E. −7π/12 < x < π/12
Pembahasan
Untuk mempermudah menurunkan fungsi f(x), bentuk akar dalam fungsi tersebut kita ubah terlebih dahulu menjadi bentuk pangkat. Diperoleh:
f(x) = −(cos2x + ½x + π)½
Suatu fungsi akan turun jika turunan fungsi tersebut kurang dari nol.
f’(x) < 0
−½(cos2x + ½x + π)−½ (2cos x (−sin x) + ½) < 0
−½(cos2x + ½x + π)−½ (−2sin x cos x + ½) < 0
−½(cos2x + ½x + π)−½ (−sin 2x + ½) < 0
½(cos2x + ½x + π)−½ (sin 2x − ½) < 0
Bentuk tersebut dapat dikembalikan ke bentuk akar sebagai berikut:

Perhatikan penyebutnya! Penyebut pecahan tersebut berbentuk akar. Bentuk akar selalu menghasilkan nilai positif atau definit positif sehingga dapat diabaikan. Dengan demikian, pertidaksamaan tersebut menjadi lebih sederhana.
sin 2x − ½ < 0
sin 2x < ½
Pembuat nol dari pertidaksamaan tersebut adalah:
sin 2x = ½
x = 15° + k.180°
= …, −165°, 15°, 195°, …
= …, −11π/12, π/12, 13π/12, …
- 2x = (180° − 30°) + k.360°
= 150° + k.360°
x = 75° + k.180°
= …, −105°, 75°, 255°, …
= …, −7π/12, 5π/12, 17π/12, …
Berdasarkan opsi jawaban yang tersedia, opsi A dan B salah karena dalam penghitungan tidak diperoleh sudut 0. Opsi C salah karena tidak diperoleh sudut π/6 maupun π/3. Opsi D salah karena tidak diperoleh sudut 7π/12. Sehingga jawabannya adalah opsi E.
Jadi, fungsi f(x) turun pada interval −7π/12 < x < π/12 (E).
Soal No. 12 tentang Integral

Nilai c = ….
A. 4½
B. 4¾
C. 5
D. 5⅕
E. 5⅓

Pembahasan
Kita tentukan dulu titik potong antara kurva dan garis. Titik potong ini akan kita gunakan sebagai batas integrasi.
y1 = y2
−x2 = −3x
x2 = 3x
x2 − 3x = 0
x(x − 3) = 0
x = 0 dan x = 3
Dengan demikian, kurva dan garis tersebut berpotongan di x = 0 dan x = 3. Perhatikan gambar berikut ini!

L1 menyatakan luas daerah di bawah kurva dan di atas garis sedangkan L2 menyatakan luas daerah di atas kurva dan di bawah garis. Disebutkan pada soal bahwa L1 = L2 sehingga:
L1 = L2
0∫3 (y1 − y2) dx = 3∫c (y2 − y1) dx
0∫3 (−x2 + 3x) dx = 3∫c (−3x + x2) dx
−1/3 x3 + 3/2 x2 ]3 = −3/2 x2 + 1/3 x3 ]3c
−1/3 . 27 + 3/2 . 9 = −3/2 c2 + 1/3 c3 − (−3/2 . 9 + 1/3 . 27)
9/2 = −3/2 c2 + 1/3 c3 + 9/2
3/2 c2 = 1/3 c3
3/2 = 1/3 c
c = 3/2 × 3
= 9/2
Jadi, nilai c adalah 4½ (A)
Soal No. 13 tentang Permutasi dan Kombinasi
A. 20
B. 18
C. 15
D. 14
E. 12
Pembahasan
Kurva Ax2 − (By/2)2 = 0 tidak akan terjadi apabila nilai A atau B sama dengan 0 sehingga tinggal 4 pilihan yang harus diambil untuk nilai A dan B. Karena A dan B adalah dua bilangan yang berbeda serta AB ≠ BA maka soal di atas harus diselesaikan dengan permutasi (4 permutasi 2).
4P2 = 4!/(4 − 2)!
= 4!/2!
= 4 × 3
= 12
Jadi, banyaknya kurva yang terjadi adalah 12 (E).
Catatan:
Karena nilai B pada kurva di atas dikuadratkan, maka untuk B = 1 dan B = −1 akan menghasilkan harga yang sama. Sehingga untuk A dan B: (3, 1) dan (3, −1) akan menghasilkan kurva yang sama. Demikian juga untuk A dan B: (6, 1) dan (6, −1).
Dengan demikian, banyaknya kurva seharusnya:
12 − 2 = 10
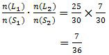
Soal No. 14 tentang Peluang Kejadian
A. 3/36
B. 5/36
C. 7/36
D. 11/36
E. 13/36
Pembahasan
Kita misalkan terlebih dahulu:
S1 : siswa kelas pertama
S2 : siswa kelas kedua
P1 : siswa perempuan kelas pertama
P2 : siswa perempuan kelas kedua
L1 : siswa laki-laki kelas pertama
L2 : siswa laki-laki kelas kedua
Dua kelas masing-masing terdiri atas 30 siswa.
n(S1) = 30
n(S2) = 30
Peluang terpilih keduanya perempuan adalah 23/180.
P(P1) . P(P2) = 23/180
n(P1) . n(P2) = 115
Faktor dari 115 yang kurang dari 30 (karena jumlah siswa 30) adalah 5 dan 23. Dapat dikatakan bahwa n(P1) = 5 dan n(P2) = 23 atau sebaliknya, sehingga:
n(L1) = n(S1) − n(P1)
= 30 − 5
= 25
n(L2) = n(S2) − n(P2)
= 30 − 23
= 7
Dengan demikian, peluang terpilih keduanya laki-laki adalah:

Jadi, peluang terpilih keduanya laki-laki adalah 7/36 (C).
Soal No. 15 tentang Deret Geometri Tak Hingga
A. 10/3
B. 8/3
C. 7/3
D. 5/3
E. 4/3
Pembahasan
Nilai maksimum atau minimum suatu fungsi terjadi saat turunan fungsi tersebut sama dengan nol.
f(x) = −⅓ x3 + x + c
f’(x) = 0
−x2 + 1 = 0
x2 = 1
x = ±1
Karena terdapat dua nilai x, yaitu x = 1 dan x = −1 maka fungsi f(x) mempunyai nilai maksimum dan minimum. Untuk mengetahui mana yang maksimum dan minimum kita uji dengan turunan kedua.
f”(x) = −2x
f”(1) = −2×1 = −2 (maksimum)
f”(−1) = −2×(−1) = 2 (minimum)
Dengan demikian, f(x) mencapai maksimum saat x = 1. Nilai maksimumnya adalah:
f(1) = −⅓ 13 + 1 + c
= ⅔ + c
Nilai maksimum ini sama dengan jumlah suatu deret geometri tak hingga.
S∞ = ⅔ + c
Selisih suku kedua dan suku pertama deret geometri tersebut adalah −2f’(0).
U2 − U1 = −2f’(0) (f’(x) = −x2 + 1)
ar − a = −2(−02 + 1)
a(r − 1) = −2
Sedangkan rasio deret geometri tersebut adalah r = 1 − 1/√2 sehingga:
a(1 − 1/√2 − 1) = −2
−1/√2 a = −2
a = 2√2
Sekarang kita gunakan rumus jumlah deret geometri tak hingga untuk mendapatkan nilai c.

c = 4 − 2/3
= 12/3 − 2/3
= 10/3
Jadi, nilai c pada fungsi f(x) tersebut adalah 10/3 (A).
Simak Pembahasan Soal TKD Saintek SBMPTN 2015 selengkapnya.
Simak juga:
Pembahasan Matematika SBMPTN 2014
Pembahasan Matematika SBMPTN 2016
Pembahasan Matematika SBMPTN 2017
Pembahasan Matematika SBMPTN 2018
Pembahasan Matematika UTBK SBMPTN 2019
Dapatkan pembahasan soal dalam file pdf di sini.
Terimakasih
Semoga Bermanfaat