pembahasan selanjutnya adalah

Pembahasan soal Ujian Nasional (UN) tahun 2019 bidang studi Matematika SMA-IPS nomor 37 sampai dengan nomor 40 tentang:
- program linear,
- aplikasi turunan,
- trigonometri, dan
- teori peluang.
SOAL ISIAN
Soal No. 37 tentang Program Linear
Tanah seluas 600 m2 dijadikan lahan parkir mobil dan bus. Luas rata-rata untuk parkir sebuah mobil 5 m2 dan untuk sebuah bus 20 m2. Lahan parkir itu tidak dapat membuat lebih dari 70 kendaraan. Andaikan banyak mobil yang dapat ditampung dinyatakan dengan x dan banyak bus yang dapat ditampung dinyatakan y, sistem pertidaksamaan linear dua variabel yang sesuai dengan persoalan tersebut dalam x dan y adalah sebagai berikut: x + ay ≤ 120, x + y = 70, y ≥ 0. Nilai a yang memenuhi adalah ….
Pembahasan
Luas parkir sebuah mobil 5 m2 dan luas parkir sebuah bus 20 m2. Sedangkan luas lahan parkir 600 m2.
5x + 20y ≤ 600
x + 4y ≤ 120 [dibagi 5]
Jika kita bandingkan dengan pertidaksamaan pada soal, yang sesuai adalah:
x + ay ≤ 120
x + 4y ≤ 120
Dari perbandingan dua pertidaksamaan tersebut diperoleh a = 4.
Jadi, nilai a yang memenuhi adalah 4.
Soal No. 38 tentang Aplikasi Turunan

Luas maksimum daerah yang dapat dibuat dengan kawat adalah … cm2.

Pembahasan
Banyak rusuk x pada bangun tersebut ada 8 dan banyak rusuk y juga ada 8, diperoleh persamaan:
8x + 8y = 128
x + y = 16
y = 16 − x … (1)
Luas setiap persegi panjang tersebut adalah xy cm2. Sedangkan jumlah persegi panjang tersebut ada 5 buah sehingga luas totalnya adalah:
L = 5xy
= 5x(16 − x)
= 80x − 5x2
Agar luas bangun tersebut maksimum maka turunan fungsi luas harus sama dengan nol.
L’ = 0
80 − 10x = 0
10x = 80
x = 8
Substitusi x = 8 ke persamaan (1) diperoleh:
8 + y = 16
y = 8
Dengan demikian, luas maksimum daerah tersebut adalah:
L = 5xy
= 5 × 8 × 8
= 320
Jadi, luas maksimum daerah yang dapat dibuat dengan kawat adalah 320 cm2.
Soal No. 39 tentang Trigonometri

Jika α adalah sudut yang dibentuk BP’ dan BC, nilai dari 1/sin α adalah ….
Pembahasan
Perhatikan gambar di bawah ini!

Pandang segitiga ABP!

Sekarang pandang segitiga BCP’!
Panjang BP’ = BP = 18 m.

Jadi, nilai dari 1/sin α adalah 9.
Soal No. 40 tentang Teori Peluang
Di dalam sebuah kantong terdapat 3 dadu berwarna hitam, 2 dadu berwarna coklat, dan 2 dadu berwarna merah. Jika diambil 2 buah dadu secara acak, peluang terambil kedua dadu berlainan warna adalah a/b, dengan a/b merupakan bilangan pecahan yang paling sederhana. Nilai a + b = ⋯.
Pembahasan
Banyak kejadian terambilnya 2 bola dari 7 bola (jumlah bola hitam, coklat, dan merah) adalah:

Misal A adalah kejadian terambil 2 bola berlainan warna. Ada 3 kemungkinan 2 bola berlainan warna, yaitu:

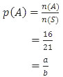
Peluang kejadian A adalah:

Dengan demikian,
a + b = 16 + 21
= 37
Jadi, nilai a+b adalah 37.
Simak Pembahasan Soal Matematika IPS UN 2019 selengkapnya.
Simak juga:
Pembahasan Matematika IPS UN 2014
Pembahasan Matematika IPS UN 2015
Pembahasan Matematika IPS UN 2016
Pembahasan Matematika IPS UN 2017
Pembahasan Matematika IPS UN 2018
Dapatkan pembahasan soal dalam file pdf di sini.
Terimakasih
Semoga Bermanfaat