pembahasan selanjutnya adalah

Pembahasan soal Ujian Nasional (UN) tahun 2018 bidang studi Matematika SMA-IPS nomor 6 sampai dengan nomor 10 tentang:
- fungsi kuadrat,
- akar persamaan kuadrat,
- persamaan kuadrat baru,
- persamaan linear, dan
- sistem persamaan linear.
Soal No. 6 tentang Fungsi Kuadrat

Persamaan fungsi kuadrat dari grafik di atas adalah ….
A. y = x2 − x − 4
B. y = x2 − 2x − 4
C. y = x2 + x − 4
D. y = 2x2 − 2x − 4
E. y = 2x2 + 2x − 4
Pembahasan
Pembuat nol grafik fungsi tersebut adalah (−1, 0) dan (2, 0) sehingga:
y = a(x + 1)(x − 2)
y = a(x2 − x − 2) … (1)
Grafik tersebut melalui titik (0, −4). Kita substitusikan titik (0, −4) ke persamaan (1) untuk mendapatkan nila a.
−4 = a(02 − 0 − 2)
−4 = −2a
a = 2
Nah, tinggal ke substitusikan a = 2 ke persamaan (1).
y = 2(x2 − x − 2)
= 2x2 − 2x − 4
Jadi, persamaan fungsi kuadrat dari grafik di atas adalah opsi (D).
Soal No. 7 tentang Akar Persamaan Kuadrat
A. 1
B. 2
C. 3
D. 4
E. 6
Pembahasan
Persamaan x2 − (a + 2)x + a = 0 mempunyai nilai:
a = 1
b = −(a + 2)
c = a
Penjumlahan dan perkalian akar-akarnya adalah:
p + q = −b/a
= a + 2
p ∙ q = c/a
= a
Diketahui p2 + q2 = 28.
(p + q)2 = p2 + q2 + 2pq
(a + 2)2 = 28 + 2 ∙ a
a2 + 4a + 4 = 28 + 2a
a2 + 2a − 24 = 0
(a − 4)(a + 6) = 0
a = 4 atau a = −6
Jadi, nilai a positif yang memenuhi adalah 4 (D).
Soal No. 8 tentang Persamaan Kuadrat Baru
A. x2 +7x + 15 = 0
B. x2 − 7x + 15 = 0
C. x2 + x + 3 = 0
D. x2 + x − 3 = 0
E. x2 − x − 3 = 0

Pembahasan
Jika akar-akar persamaan kuadrat baru sama dengan akar-akar persamaan kuadrat lama ditambah p maka persamaan kuadrat baru dapat diperoleh dengan mengganti x dengan x − p.
Persamaan kuadrat baru pada soal di atas, akar-akarnya masing-masing ditambah 2 sehingga:
Lama : x2 − 3x + 5 = 0
Baru : (x − 2)2 − 3(x − 2) + 5 = 0
x2 − 4x + 4 − 3x + 6 + 5 = 0
x2 − 7x + 15 = 0
Jadi, persamaan kuadrat baru yang akar-akarnya (α + 2) dan (β + 2) adalah (B).
Soal No. 9 tentang Persamaan Linear
A. f(x) = x + 400/x − 20
B. f(x) = x2 − 20x + 400
C. f(x) = x2 − 20x + 200
D. f(x) = x2 + 10x + 200
E. f(x) = x2 + 10x + 100
Pembahasan
Biaya minimum per hari:
f(x) = x + 400/x − 20
Sedangkan total biaya minimum selama x hari:
f(x) = (x + 400/x − 20)x
= x2 + 400 − 20x
= x2 − 20x + 400
Jadi, total biaya minimum yang harus dikeluarkan adalah opsi (B).
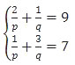
Soal No. 10 tentang Sistem Persamaan Linear

Nilai dari 8p − q adalah ….
A. 7
B. 5/2
C. 1
D. −1
E. −5/2
Pembahasan
Misalkan x = 1/p dan y = 1/q maka:

Mari kita eliminasi sistem persamaan linear di atas!

Kita substitusikan x = 4 ke persamaan pertama.
2x + y = 9
8 + y = 9
y = 1
Nah, sekarang kita kembalikan ke nilai p dan q.
p = 1/x
= 1/4
q = 1/y
= 1
Dengan demikian
8p − q = 8 × 1/4 − 1
= 2 − 1
= 1
Jadi, nilai dari 8p − q adalah 1 (C).
Simak Pembahasan Soal Matematika IPS UN 2018 selengkapnya.
Dapatkan pembahasan soal dalam file pdf di sini.
Terimakasih
Semoga Bermanfaat