pembahasan selanjutnya adalah
![]() |
| Indukis Magnet |
Pembahasan soal-soal Ujian Nasional (UN) SMA-IPA bidang studi Fisika dengan materi pembahasan Induksi Magnetik.
Soal Induksi Magnetik UN 2015
- luas penampang kawat
- arus yang mengalir dalam kawat
- permeabilitas ruang hampa
- konduktivitas suatu kawat
Faktor yang memengaruhi besarnya induksi magnetik pada kawat penghantar adalah ….
A. (1) dan (2)
B. (1) dan (3)
C. (2) dan (3)
D. (2) dan (4)
E. (3) dan (4)
Pembahasan
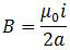
Kuat induksi magnetik di sekitar kawat yang berarus listrik dinyatakan oleh hukum Biot-Savart dengan rumus

dengan:
| B | : | induksi magnetik di suatu titik di sekitar kawat |
| μ | : | permeabilitas udara vakum |
| i | : | kuat arus listrik yang mengalir pada kawat |
| a | : | jarak titik ke kawat |
Berdasarkan rumus di atas dan sesuai dengan opsi yang ada, kuat medan magnet di sekitar kawat dipengaruhi oleh arus yang mengalir pada kawat dan permeabilitas ruang hampa.
Jadi, faktor yang memengaruhi besarnya induksi magnet pada kawat penghantar adalah pernyataan 2 dan 3 (C).
Soal Induksi Magnetik UN 2014
Pada gambar kawat berarus listrik berikut, tanda ⊙ menyatakan induksi magnetik keluar tegak lurus bidang kertas dan tanda ⊗ menyatakan induksi magnetik masuk tegak lurus bidang kertas, maka gambar yang benar adalah …


Pembahasan
Arah induksi magnetik pada kawat berarus listrik ditentukan dengan kaidah tangan kanan Ampere. Kaidah tersebut menyatakan bahwa ibu jari menunjukkan arah arus listrik (I) sedangkan lipatan jari yang digenggam menyatakan arah induksi magnetik (B)

Dengan menerapkan kaidah tangan kanan tersebut pada gambar di atas, gambar yang benar adalah opsi C. Pada opsi C, arah induksi magnet di sebelah kiri kawat masuk bidang kertas (⊗) dan di sebelah kanannya keluar bidang kertas (⊙).
Opsi B dan D pasti salah karena arah induksi magnet di sebelah kiri dan kanan sama.
Jadi, gambar yang menunjukkan arah induksi magnetik yang benar adalah opsi (C).
Soal Induksi Magnetik UN 2012
Sebuah penghantar lurus panjang dialiri arus 2 ampere seperti pada gambar di bawah ini.

Besar dan arah induksi magnet di titik P adalah … (μo = 4π × 10−7 Wb A−1 m−1).
A. 8 × 10−5 T, masuk bidang kertas
B. 6 × 10−5 T, keluar dari bidang kertas
C. 4 × 10−5 T, masuk bidang kertas
D. 2 × 10−5 T, keluar dari bidang kertas
E. 1 × 10−5 T, masuk bidang kertas
Pembahasan
Diketahui:
I = 2 A
a = 4 cm
= 4 × 10−2 m
Besar induksi magnetik di titik P dapat ditentukan dengan rumus

= 10−5
Sedangkan arah induksi magnetiknya ditentukan dengan kaidah tangan kanan. Berdasarkan kaidah tersebut, untuk arus ke atas maka induksi magnetik akan mengitari kawat berlawanan arah jarum jam. Dengan demikian, arah induksi magnetik di titik P adalah masuk bidang kertas.
Jadi, besar dan arah induksi magnetik di titik P adalah 1 × 10−5 T, masuk bidang kertas (E).
Soal Induksi Magnetik UN 2011
Seutas kawat lurus dilengkungkan seperti gambar.

Jika kawat dialiri arus listrik 2 A dan jari-jari kelengkungan 2π cm maka induksi magnetik di titik P adalah … (μo = 4π × 10−7 Wb A−1 m−1).
A. 5 × 10−5 T keluar bidang gambar
B. 4 × 10−5 T keluar bidang gambar
C. 3 × 10−5 T masuk bidang gambar
D. 2 × 10−5 T masuk bidang gambar
E. 1 × 10−5 T masuk bidang gambar
Pembahasan
Diketahui:
I = 2 A
a = 2π cm
= 2π × 10−2 m
Besar induksi magnetik pada kawat melingkar dirumuskan:

Sedangkan gambar pada soal di atas adalah kawat setengah lingkaran sehingga besar induksi magnetiknya adalah:

Arah induksi magnetik di titik P adalah masuk bidang kertas sesuai aturan tangan kanan Ampere.
Jadi, besar dan arah induksi magnetik di titik P adalah 1 × 10−5 T masuk bidang gambar (E).
Soal Induksi Magnetik UN 2013
Selembar kawat berarus listrik dilengkungkan seperti gambar.

Jika jari-jari kelengkungan sebesar 50 cm maka besarnya induksi magnetik di pusat kelengkungan adalah … (μo = 4π × 10−7 Wb A−1 m−1).
A. ⅓π × 10−7 T
B. 1 × 10−7 T
C. π × 10−7 T
D. 2 × 10−7 T
E. 2π × 10−7 T
Pembahasan
Diketahui:
I = 1,5 A
a = 50 cm
= 5 × 10−1 m
α = 120°
Induksi magnetik di pusat kelengkungan kawat dengan sudut pusat α dirumuskan sebagai

= 2π × 10−7
Jadi, besar induksi magnetik di pusat kelengkungan kawat tersebut adalah 2π × 10−7 T (E).
Pembahasan soal Induksi Magnetik yang lain bisa disimak di:
Pembahasan Fisika UN 2014 No. 31
Pembahasan Fisika UN 2015 No. 30
Pembahasan Fisika UN 2015 No. 31
Pembahasan Fisika UN 2019 No. 37
Simak juga:
Pembahasan Fisika UN: Induksi Elektromagnetik
Pembahasan Fisika UN: Gaya Magnetik.
Dapatkan pembahasan soal dalam file pdf di sini.
Terimakasih
Semoga Bermanfaat
