Pembahasan Selanjutnya
Prisma terbuat dari lensa transparan yang tembus cahaya, dimana kedua sisinya dibatasi permukaan yang membentuk sudut tertentu.
Sifat-sifat perambatan cahaya seperti pemantulan, pembiasan,
serta prinsip jalannya sinar telah dibahas dalam Optik Geometris. Adapun
prinsip jalannya sinar yang mengenai prisma adalah sebagai berikut :
serta prinsip jalannya sinar telah dibahas dalam Optik Geometris. Adapun
prinsip jalannya sinar yang mengenai prisma adalah sebagai berikut :
1. Cahaya datang dari udara menuju bidang
permukaan prisma,
permukaan prisma,
2. kemudian, cahaya tersebut akan dibiaskan
mendekati garis normal,
mendekati garis normal,
3. Ketika cahaya akan meninggalkan prisma
menuju ke udara, maka cahaya tersebut akan dibiaskan kembali menjauhi garis
normal.
menuju ke udara, maka cahaya tersebut akan dibiaskan kembali menjauhi garis
normal.
Hal
tersebut sesuai dengan bunyi Hukum
Snellius yang bunyinya sebagai berikut : “Sudut datang sama dengan sudut pantul dan jika sinar datang dari medium kurang rapat ke medium lebih rapat, maka
sinar akan dibelokkan mendekati garis normal. Jika sinar datang dari medium
lebih rapat ke medium kurang rapat, sinar datang akan dibelokkan menjauhi garis
normal”.
tersebut sesuai dengan bunyi Hukum
Snellius yang bunyinya sebagai berikut : “Sudut datang sama dengan sudut pantul dan jika sinar datang dari medium kurang rapat ke medium lebih rapat, maka
sinar akan dibelokkan mendekati garis normal. Jika sinar datang dari medium
lebih rapat ke medium kurang rapat, sinar datang akan dibelokkan menjauhi garis
normal”.
Maksud
dari praktikum ini adalah :
dari praktikum ini adalah :
1. Untuk mengetahui secara langsung
mengenai materi-materi yang sudah diberikan,
mengenai materi-materi yang sudah diberikan,
2. Mengetahui lebih dalam proses pembiasan
cahaya pada prisma,
cahaya pada prisma,
3. Menambah wawasan kami mengenai ilmu-ilmu
fisika.
fisika.
Tujuan
dari praktikum ini adalah :
dari praktikum ini adalah :
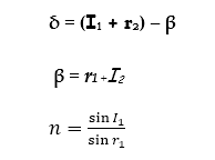
1. Menentukan besar sudut pembias prisma
(β),
(β),
2. Menentukan besar sudut deviasi (δ),
3. Menentukan indeks bias prisma (np).
Ø
Alat
dan bahan yang diperlukan sebagai berikut :
Alat
dan bahan yang diperlukan sebagai berikut :
2. Kertas grafik/millimeter,
3. Jarum pentul 12 buah,
Pembiasan
Cahaya pada Prisma
Cahaya pada Prisma
1.
Letakkan
prisma pada kertas grafik/millimeter (misal : seperti gambar di bawah). Buat
garis AB, BC, dan AC sesuai sisi pada prisma sehingga membentuk sebuah gambar segitiga,
Letakkan
prisma pada kertas grafik/millimeter (misal : seperti gambar di bawah). Buat
garis AB, BC, dan AC sesuai sisi pada prisma sehingga membentuk sebuah gambar segitiga,
2.
Buat
garis normal I yang memotong garis AC di titik O dengan syarat garis normal I
tegak lurus dengan garis AC,
Buat
garis normal I yang memotong garis AC di titik O dengan syarat garis normal I
tegak lurus dengan garis AC,
3.
Tancapkan
jarum pentul pada titik P, Q dan R sehingga membentuk sudut 30o dengan garis normal,
Tancapkan
jarum pentul pada titik P, Q dan R sehingga membentuk sudut 30o dengan garis normal,
4.
Tarik
garis pada titik P, Q dan R sehingga membentuk sebuah garis (s) yang memotong
AC di titik O,
Tarik
garis pada titik P, Q dan R sehingga membentuk sebuah garis (s) yang memotong
AC di titik O,
5.
Jika
titik P, Q dan R dilihat dari sisi BC, akan terlihat bayangan titik P, Q dan R
di titik P’, Q’ dan R’ dengan syarat P, Q, R, P’, Q’ dan R’ terletak pada satu
garis,
Jika
titik P, Q dan R dilihat dari sisi BC, akan terlihat bayangan titik P, Q dan R
di titik P’, Q’ dan R’ dengan syarat P, Q, R, P’, Q’ dan R’ terletak pada satu
garis,
6.
Tarik
garis pada titik P’, Q’ dan R’ sehingga membentuk sebuah garis (t) yang
memotong BC di titik O’,
Tarik
garis pada titik P’, Q’ dan R’ sehingga membentuk sebuah garis (t) yang
memotong BC di titik O’,
7.
Buat
garis normal II yang memotong BC di titik O’ dengan syarat garis normal II
tegak lurus dengan garis BC,
Buat
garis normal II yang memotong BC di titik O’ dengan syarat garis normal II
tegak lurus dengan garis BC,
8.
Gabungkan
titik O dan O’ sehingga membentuk sebuah garis yang menghubungkan garis normal
I dengan garis normal II dan menghubungkan garis (s) dengan garis (t),
Gabungkan
titik O dan O’ sehingga membentuk sebuah garis yang menghubungkan garis normal
I dengan garis normal II dan menghubungkan garis (s) dengan garis (t),
9.
Perpanjang
garis normal I dan garis normal II sehingga bertemu di titik (E),
Perpanjang
garis normal I dan garis normal II sehingga bertemu di titik (E),
10. Perpanjang garis (s) dan garis (t)
sehingga bertemu di titik (D),
sehingga bertemu di titik (D),
11. Dari hasil gambar tersebut kita sudah
dapat mengetahui besarnya sudut I1, r1, I2, r2, δ dan δm,
dapat mengetahui besarnya sudut I1, r1, I2, r2, δ dan δm,
12. Masukkan besaran-besaran tersebut ke
dalam rumus yang ada.
dalam rumus yang ada.
PEMBIASAN CAHAYA PADA PRISMA
|
I2
= Sudut antara garis O ke garis normal kedua
r1 = Sudut antara garis O ke
garis normal kesatu
β = Sudut pembias
Prisma
E
= Titik temu garis normal
t
= garis 300 dari garis normal 1
s
= garis 300 dari garis normal 2
D = titik temu garis t dan s
|
Tentukan besar β dan δ dari hasil pengukuran dan perhitungan apakah sama jika tidak apa penyebabnya
Buatlah kesimpulan dari hasil
pengamatan / praktikum yang telah anda lakukan
pengamatan / praktikum yang telah anda lakukan
…………………………………………………………………………………………………………………………………………………………………………………………………………………………………
Semogaa bermanfaat