MODUL PRAKTIKUM KISI DIFRAKSI – fisika fsm blog

Posted on

Pembahasan Selanjutnya

Tujuan  :  Menentukan panjang gelombang sinar.
Alat dan bahan  :     
            1.  Statif
            2.  Kisi difraksi
            3.  Penggaris
            4.  Laser
1.     Pasanglah kisi pada statif
2.    Ukur jarak kisi ke
layar / tembok ( l )
3.    Ukur jarak celah
pada kisi (lihat di ujung kisi)
4.    Beri kisi sinar
laser yang diarahkan pada tembok.
5.    Ukur jarak titik –
titik terang pada layar.
Tentukan :  Panjang gelombang rata – rata sinar yang
digunakan.

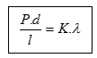
 Teori  :

                                  

P         :  Jarak titik terang pada layar
l           : 
Jarak celah ke layar
d          :  Jarak antar celah
                                    l          :  Panjang gelombang sinar
                                    k          : 
Ordo 1, 2, 3 dst
…………………………………………………………………………………………………………………………………………………………………………………………………………………………………………………………………………………………………………………………………………………………………………………………………………………………………………………………………………………………………………..


Semogaa bermanfaat

Artkel Terkait  Bug merupakan salah satu penyebab program tidak dapat berjalan sebagaimana mestinya.

Leave a Reply

Your email address will not be published. Required fields are marked *