Pembahasan Selanjutnya
fisika sekolah madrasah blog. soal dan pembahasan latihan, TO (try out) ujian nasional fisika SMA untuk persiapan UNBK dan UNKP 2020 / 2021 terdiri dari 40 soal pilihan ganda sesuai kisi kisi dan SKL UN 2019 / 2020 dengan beberapa soal HOTS (high order thingking skills)
33. pada gambar dibawah sebuah kawat lengkung dengan jari-jari 40 cm dan dialiri arus listrik.

Besar dan arah induksi magnetik di titik P adalah … (μ = 4π x 10-7 Wb m-1 A-1)
A. 2,5 π x 10-7 Tesla, arah B masuk ke dalam bidang kertas
B. 5 x 10-7 Tesla, arah B ke luar bidang kertas
C. 5 π x 10-7 Tesla, arah B ke dalam bidang kertas
D. 1 x 10-6 Tesla, arah B ke luar bidang kertas
E. π x 10-6 Tesla, arah B ke dalam bidang kertas
Jawaban : C
Pembahasan
Besar induksi magnetik akibat kawat melingkar :

Arah induksi magnetik pada kawat melingkar ditentukan dengan aturan tangan kanan Oersted, keempat jari yang melingkar menunjukkan arah arus dan ibu jari menunjukkan arah induksi magnetik.
34. Gambar berikut menunjukkan arah induksi magnet yang benar akibat kawat penghantar berarus I adalah …

Jawaban : A
Pembahasan
Arah induksi magnetik pada kawat melingkar ditentukan dengan aturan tangan kanan Oersted, keempat jari yang melingkar menunjukkan arah arus dan ibu jari menunjukkan arah induksi magnetik. Sedangkan pada kawat lurus, arah ibu jari menunjukkan arah arus dan arah keempat jari menunjukkan arah induksi magnetik.
35. Perhatikan gambar!

Apabila kawat PQ bergerak memotong tegak lurus medan magnet, maka arus listrik yang mengalir melewati hambatan 20 Ω adalah …
A. 0,03 A menuju P
B. 0,03 A menuju Q
C. 0,60 A menuju P
D. 3,00 A menuju Q
E. 3,00 A menuju P
Jawaban : B
Pembahasan
Menentukan hubungan antara GGL dan hambatan listrik :
ε = B l v
I. R =B l v
I = (B l v)/R=(0,5 (0,15) 8)/20=0,03 A
Menentukan arah arus digunakan aturan tangan kanan Lorentz, jari telunjuk menunjukkan arah medan magnet, jari tengah menunjukkan arah kecepatan dan ibu jari menunjukkan arah arus yang mengalir.
33. pada gambar dibawah sebuah kawat lengkung dengan jari-jari 40 cm dan dialiri arus listrik.
Besar dan arah induksi magnetik di titik P adalah … (μ = 4π x 10-7 Wb m-1 A-1)
A. 2,5 π x 10-7 Tesla, arah B masuk ke dalam bidang kertas
B. 5 x 10-7 Tesla, arah B ke luar bidang kertas
C. 5 π x 10-7 Tesla, arah B ke dalam bidang kertas
D. 1 x 10-6 Tesla, arah B ke luar bidang kertas
E. π x 10-6 Tesla, arah B ke dalam bidang kertas
Jawaban : C
Pembahasan
Besar induksi magnetik akibat kawat melingkar :
Arah induksi magnetik pada kawat melingkar ditentukan dengan aturan tangan kanan Oersted, keempat jari yang melingkar menunjukkan arah arus dan ibu jari menunjukkan arah induksi magnetik.
34. Gambar berikut menunjukkan arah induksi magnet yang benar akibat kawat penghantar berarus I adalah …
Jawaban : A
Pembahasan
Arah induksi magnetik pada kawat melingkar ditentukan dengan aturan tangan kanan Oersted, keempat jari yang melingkar menunjukkan arah arus dan ibu jari menunjukkan arah induksi magnetik. Sedangkan pada kawat lurus, arah ibu jari menunjukkan arah arus dan arah keempat jari menunjukkan arah induksi magnetik.
35. Perhatikan gambar!
Apabila kawat PQ bergerak memotong tegak lurus medan magnet, maka arus listrik yang mengalir melewati hambatan 20 Ω adalah …
A. 0,03 A menuju P
B. 0,03 A menuju Q
C. 0,60 A menuju P
D. 3,00 A menuju Q
E. 3,00 A menuju P
Jawaban : B
Pembahasan
Menentukan hubungan antara GGL dan hambatan listrik :
ε = B l v
I. R =B l v
I = (B l v)/R=(0,5 (0,15) 8)/20=0,03 A
Menentukan arah arus digunakan aturan tangan kanan Lorentz, jari telunjuk menunjukkan arah medan magnet, jari tengah menunjukkan arah kecepatan dan ibu jari menunjukkan arah arus yang mengalir.
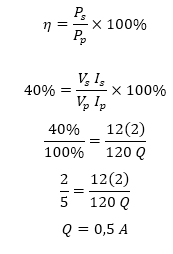
36. Berikut adalah tabel Data dua buah trafo/ transformator!
nilai efisiensi transformator sama = 40%, maka besar P dan Q adalah …
A. P = 8 , Q = 0,5
B. P = 8, Q = 1
C. P = 16, Q = 0,5
D. P = 16, Q = 1
E. P = 16, Q = 2
Jawaban : A
Pembahasan
Menentukan nilai Q dan P:
dengan rumus efisiensi transformator / trafo
37. Pada rangkaian RLC seri, jika XL > XC Grafik gelombang sinus yang benar adalah …
Jawaban : C
Pembahasan
Pada rangkaian RLC tersebut, menunjukkan jenis rangkaian RLC yang berifat induktif, kareana XL > XC, dan grafik gelombang sinus untuk rangkaian RLC induktif mempunyai sifat arus akan mendahului tegangan dengan beda fase 90°.
38. Perbedaan model atom menurut Rutherford dan Bohr adalah … [aplikasi]
Jawaban : D
Pembahasan
Teori atom menurut Rutherford :
1) Muatan positif berkumpul di tengah-tengah atom yang disebut inti atom.
2) Massa atom terpusat di bagian inti atom.
3) Elektron-elektron mengelilingi inti atom seperti planet-planet dalam tata surya.
Teori atom menurut Bohr :
1) Elektron-elektron yang mengelilingi inti mempunyai lintasan stasioner dengan energi tertentu.
2) Elektron dapat berpindah dari lintasan yang tinggi ke lintasan yang rendah akan memancarkan energi.
3) Elektron dapat berpindah dari lintasan yang rendah ke lintasan yang tinggi akan menyerap energi.
39. Sebuah inti atom uranium 238U92 = 238,0508 sma, massa proton = 1,0078 sma, massa neutron = 1,0086 sma. Jika 1 sma = 931 MeV, maka besar energi ikat atom uranium adalah … [penalaran]
A. 9271,76 MeV
B. 2830,50 MeV
C. 2399,73 MeV
D. 1922,24 MeV
E. 1789,75 MeV
Jawaban : E
Pembahasan
Energi ikat inti 238U92:
ΔEi = Δm 931 MeV
ΔEi = (Zmp+(N-Z) mn – minti ) 931 MeV
ΔEi = ((92×1,0078)+(146×1,0086)-238,0508) 931 MeV
ΔEi = (92,7176+147,2556-238,0508) 931 MeV
ΔEi = 1789,75 MeV
40. Pernyataan tentang sinar radioaktif berikut yang benar adalah …
A. Daya tembus alfa lebih besar daripada beta
B. Daya tembus sinar gamma lebih kecil daripada alfa
C. Daya ionisasi beta lebih besar daripada sinar gamma
D. Daya ionisasi alfa lebih kecil daripada sinar gamma
E. Daya ionisasi alfa lebih besar daaripada beta
Jawaban : E
Pembahasan
Sifat-sifat sinar radioaktif :
1) Sinar alfa memiliki daya ionisasi yang lebih besar daripada sinar beta dan sinar gamma (α > β > γ).
2) Sinar gamma memiliki daya tembus yang lebih besar dari sinar alfa dan sinar beta (γ > β > α).
baca selengkapnya:
Semogaa bermanfaat