Skip to content
My Brain
MENU
  • Terms and Conditions
  • Contact
  • About Us
  • Disclaimer
  • Privacy Policy
Homepage / Diketahui f(x) = √x3 – 8

Tag: Diketahui f(x) = √x3 – 8

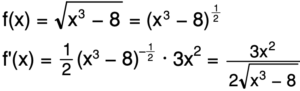
Diketahui f(x) = √x3 – 8, maka f’(x) =

By adminPosted on April 14, 2022June 19, 2025

Baiklah teman-teman.. kita akan membahas soal selanjutnya Diketahui f(x) = √x3 – 8, maka f’(x) = …. Pembahasan: Pertama-tama kita rubah […]

Categories

  • Electrical
  • KnowledgePedia
  • Pendidikan
  • Tekno & Android
Powered By MyBrain