pembahasan selanjutnya adalah
- aturan sinus dan kosinus,
- dimensi tiga (jarak titik ke garis),
- dimensi tiga (sudut antara garis dan bidang),
- transformasi geometri, serta
- lingkaran.
Soal No. 21 tentang Aturan Sinus dan Kosinus

Jarak tempuh kapal dari pelabuhan C ke pelabuhan A adalah ….
A. 200√2 mil
B. 200√3 mil
C. 200√6 mil
D. 200√7 mil
E. 600 mil
Pembahasan
Diketahui:
tAB = 4 jam
tBC = 20.00 − 12.00
= 8 jam
v = 50 mil/jam
Jarak tempuh dari pelabuhan A ke pelabuhan B adalah:
sAB = v . tAB
= 50 mil/jam × 4 jam
= 200 mil
Sedangkan jarak tempuh dari pelabuhan B ke pelabuhan C adalah:
sBC = v . tBC
= 50 mil/jam × 8 jam
= 400 mil
Perhatikan perjalanan kapal berikut ini!

Berdasarkan gambar di atas, jarak tempuh kapal dari pelabuhan C ke pelabuhan A (sAC) dapat ditentukan dengan aturan kosinus segitiga.
sAC2 = sAB2 + sBC2 − 2 . sAB . sBC . cos B
= 2002 + 4002 − 2 × 200 × 400 cos 60°
= 40.000 + 160.000 − 80.000
= 120.000
sAC = 200√3
Jadi, jarak tempuh kapal dari pelabuhan C ke pelabuhan A adalah 200√3 mil (B).
Simak soal sejenis di Pembahasan Matematika IPA UN 2017 No. 25
Perdalam materi ini di Pembahasan Matematika IPA UN: Aturan Sinus dan Kosinus.
Soal No. 22 tentang Dimensi Tiga (jarak titik ke garis)
A. 8√6 cm
B. 8√3 cm
C. 8√2 cm
D. 4√6 cm
E. 4√3 cm

Pembahasan
Perhatikan gambar kubus ABCD.EFGH berikut ini!

AC adalah diagonal bidang, sedangkan AO adalah setengah diagonal AC.
AC = a√2
= 8√2
AO = ½ AC
= ½ × 8√2
= 4√2
Jarak titik E ke garis BD adalah garis EO. Pandanglah segitiga AOE.

Jadi, jarak dari titik E ke garis BD adalah 4√6 cm (D).
Perdalam materi ini di Pembahasan Matematika IPA UN: Jarak Titik, Garis, dan Bidang [Dimensi Tiga].
Soal No. 23 tentang Dimensi Tiga (sudut antara garis dan bidang)
A. ½
B. ⅓√3
C. ½√2
D. ½√3
E. ⅓√6
Pembahasan
Perhatikan terbentuknya sudut antara garis AH dan bidang BDHF berikut ini!

Garis AH dan bidang BDHF bertemu di titik H. Dari titik H ini ditarik garis pertolongan hingga terbentuk sudut α.
Garis AH adalah diagonal bidang.
AH = a√2
= 16√2
Sedangkan garis HB adalah diagonal ruang.
HB = a√3
= 16√3
Cara I: Aturan Kosinus Segitiga
Pandanglah segitiga ABH! Sudut α dapat dicari dengan menggunakan aturan kosinus.

Jika masing-masing suku ruas kanan dibagi dengan 162 maka diperoleh:

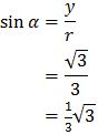
Sayang sekali pertanyaannya sin α. Sabar sedikit, ya. Tinggal satu langkah lagi. Kita buat perbandingan trigonometri dengan memanfaatkan sifat segitiga siku-siku.

Nilai y pada segitiga siku-siku di atas adalah:

Dengan demikian, nilai dari sin α adalah:
Cara II: Segitiga Siku-siku
Jika Anda jeli, segitiga ABH adalah segitiga siku-siku di A.

Dengan demikian, nilai sin α adalah:

Jadi, nilai sinus sudut antara garis AH dengan bidang BDHF adalah ⅓√3 (B).
Perdalam materi ini di Pembahasan Matematika IPA UN: Sudut antara Garis dan Bidang [Dimensi Tiga].
Soal No. 24 tentang Transformasi Geometri
A. y = −3x2 − 2x − 1
B. y = −3x2 − 2x + 1 y = −3x2 + 2x + 1
C. y = −3x2 + 2x − 1
D. y = 3x2 + 2x + 1
E. y = 3x2 − 2x + 1
Pembahasan
Mencerminkan terhadap sumbu x dilanjutkan dengan mencerminkan terhadap sumbu y sama saja dengan mencerminkan terhadap pangkal koordinat atau memutar 180°. Sehingga bayangan dan benda akan saling bertolak belakang. Secara matematis dapat dinotasikan:
(x, y) → (−x, −y)
Sehingga diperoleh:
x‘ = −x atau x = −x‘ … (1)
y‘ = −y atau y = −y‘ … (2)
Persamaan bayangan kurva y diperoleh dengan cara substitusi persamaan (1) dan (2) pada kurva y.
kurva : y = 3x2 + 2x − 1
bayangan: −y’ = 3(−x‘)2 + 2(−x‘) − 1
= 3(x‘)2 − 2x‘ − 1
y‘ = −3(x‘)2 + 2x‘ + 1
Jadi, persamaan bayangan kurva tersebut adalah y = −3x2 + 2x + 1 (C B).
Perdalam materi ini di Pembahasan Matematika IPA UN: Transformasi Geometri.
Soal No. 25 tentang Lingkaran
A. 2x + y + 10 = 0
B. 2x + y + 6 = 0
C. 2x + y + 4 = 0
D. 2x + y − 6 = 0
E. 2x + y − 8 = 0
Pembahasan
Persamaan garis singgung lingkaran yang sejajar atau tegak lurus suatu garis dirumuskan sebagai:

dengan (h, k) adalah pusat lingkaran, r adalah jari-jari lingkaran, dan m adalah gradien garis singgung.
Kita tentukan dulu pusat dan jari-jari lingkaran dengan cara membandingkan dengan bentuk umumnya.
x2 + y2 + Ax + By + C = 0
x2 + y2 + 2x − 4y − 15 = 0
Dengan membandingkan bentuk umumnya diperoleh:
A = 2
B = −4
C = −15
Adapun pusat dan jari-jari lingkaran dirumuskan:
pusat: (−½A, −½B)
(−½×2, −½×(−4))
(−1, 2)
jari-jari:

Garis singgung lingkaran sejajar dengan garis 2x + y + 3 = 0, berarti gradien garis singgung sama dengan gradien garis tersebut.
Gradien garis ax + by + c = 0 dirumuskan:
m = −a/b
Sehingga gradien garis 2x + y + 3 = 0 adalah:
m = −2/1
= −2
Dengan demikian, persamaan garis singgung lingkaran tersebut adalah:

Sekarang tinggal menguraikan nilai plus dan minus pada persamaan tersebut
y = −2x + 10
2x + y −10 = 0
dan
y = −2x − 10
2x + y +10 = 0
Jadi, salah satu persamaan garis singgung lingkaran adalah 2x + y + 10 = 0 (A).
Perdalam materi ini di Pembahasan Matematika IPA UN: Lingkaran.
Simak Pembahasan Soal Matematika IPA UN 2016 selengkapnya.
Dapatkan pembahasan soal dalam file pdf di sini.
Terimakasih
Semoga Bermanfaat