pembahasan selanjutnya adalah

Pembahasan soal-soal Fisika Ujian Nasional (UN) tahun 2019 nomor 31 sampai dengan nomor 35 tentang:
- gaya Coulomb,
- kapasitor dan rangkaian kapasitor,
- kuat medan listrik,
- listrik dinamis, dan
- listrik dinamis [hukum Kirchhoff II].
Soal No. 31 tentang Gaya Coulomb

Konstanta Coulomb k = 9 × 109 Nm2/C2 dan besar muatan Q2 = 2Q1, maka besar muatan Q1 dan Q2 adalah ….
A. Q1 = 2 C dan Q2 = 4 C
B. Q1 = 1 C dan Q2 = 2 C
C. Q1 = 1/2 C dan Q2 = 1 C
D. Q1 = 1/4 C dan Q2 = 1/2 C
E. Q1 = 1/8 C dan Q2 = 1/4 C
Pembahasan
Diketahui Q2 = 2Q1.
Misalkan pada grafik di atas kita ambil F = 18 × 109 N dan r = 1 m, maka:

Kita ambil yang bernilai positif karena yang ditanyakan hanya besar muatan. Sementara itu,
Q2 = 2Q1
= 2 × 1
= 2
Jadi, besar muatan Q1 dan Q2 adalah Q1 = 1 C dan Q2 = 2 C (B).
Perdalam materi ini di Pembahasan Fisika UN: Gaya Coulomb.
Soal No. 32 tentang Kapasitor dan Rangkaian Kapasitor
A. 4 kapasitor dirangkai secara seri
B. 4 kapasitor dirangkai secara paralel
C. 3 kapasitor dirangkai seri, kemudian dirangkai paralel dengan 1 kapasitor lain
D. 3 kapasitor dirangkai paralel, kemudian dirangkai seri dengan 1 kapasitor lain
E. 2 kapasitor dirangkai seri, kemudian dirangkai paralel dengan 2 kapasitor lain yang dirangkai seri
Pembahasan
Pada rangkaian kapasitor berlaku hubungan:
Q = CV
120 μ = C ∙ 10
C = 12 μF
Nilai kapasitor di atas adalah kapasitas total dari keempat kapasitor yang masing-masing 9 μF. Rangkaian yang mungkin adalah:

Tiga kapasitor identik dirangkai seri.
Cs = C/n
= 9/3 μF
= 3 μF
Kemudian rangkai seri tersebut dirangkai paralel dengan kapasitor 9 μF.
Ct = Cs + 9 μF
= 3 μF + 9 μF
= 12 μF
Jadi, susunan kapasitor dalam rangkaian tersebut yang mungkin adalah 3 kapasitor dirangkai seri, kemudian dirangkai paralel dengan 1 kapasitor yang lain (C).
Perdalam materi ini di Pembahasan Fisika UN: Kapasitor dan Rangkaian Kapasitor.
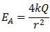
Soal No. 33 tentang Kuat Medan Listrik

Besar kuat medan listrik total pada titik P adalah ….


Pembahasan
Perhatikan gambar berikut ini!

Kuat medan listrik di titik P karena pengaruh muatan A adalah:

Sedangkan kuat medan listrik di titik P karena pengaruh muatan B adalah:

Dengan demikian resultan kuat medan listrik di titik P karena pengaruh muatan A dan B adalah:

Jadi, besar kuat medan listrik total pada titik P adalah opsi (E).
Perdalam materi ini di Pembahasan Fisika UN: Kuat Medan Listrik.
Soal No. 34 tentang Listrik Dinamis

Kuat arus yang terukur adalah ….
A. 60 A
B. 6 A
C. 5 A
D. 3 A
E. 0,3 A
Pembahasan
Jarum amperemeter menunjukkan angka 60 sedangkan skala maksimum 100. Rangkaian listrik dihubungkan ke amperemeter pada 5A sehingga kuat arus listrik yang terukur adalah:
I = 60/100 × 5 A
= 3 A
Jadi, kuat arus yang terukur adalah 3 A (D).
Perdalam materi ini di Pembahasan Fisika UN: Listrik Dinamis.
Soal No. 35 tentang Listrik Dinamis [hukum Kirchhoff II]

Besar tegangan jepit pada titik AB adalah ….
A. 2 V
B. 4 V
C. 6 V
D. 8 V
E. 10 V
Pembahasan
Perhatikan arah arus pada rangkaian berikut ini!

Pada Hukum Kirchhoff II dinyatakan bahwa jumlah total tegangan pada rangkaian tertutup adalah nol.
ΣV = 0
−ε1 − ε2 + IR2 − ε3 + IR3 + IR4 + IR1 = 0
−8 − 8 + 3I − 8 + 2I + 4I + 3I = 0
12I = 24
I = 2
Sedangkan tegangan jepit antara titik A-B adalah:
VAB = IR1 − ε1
= 3 ∙ 2 − 8
= −2
Jadi, besar tegangan jepit pada titik AB adalah 2 V (A).
Perdalam materi ini di Pembahasan Fisika UN: Listrik Dinamis.
Simak Pembahasan Soal Fisika UN 2019 selengkapnya.
Dapatkan pembahasan soal dalam file pdf di sini.
Terimakasih
Semoga Bermanfaat