pembahasan selanjutnya adalah

Pembahasan soal-soal Fisika Ujian Nasional (UN) tahun 2019 nomor 21 sampai dengan nomor 25 tentang:
- gelombang cahaya [interferensi],
- alat-alat optik,
- kalor,
- kalor [asas Black], dan
- kalor [perpindahan panas].
Soal No. 21 tentang Gelombang Cahaya [interferensi]
A. 5L
B. 3L
C. 5/4 L
D. 1/5 L
E. 1/3 L
Pembahasan
Interferensi celah ganda dirumuskan sebagai:

Agar jarak pita cahaya hijau sama dengan pita terang cahya violet maka:

Karena interferensi kedua sinar terjadi pada terang pertama (n = 1) dan celah ganda yang digunakan sama (dh = dv ), maka:
λh Lh = λv Lv
5000 ∙ L = 4000 ∙ Lv
Lv = 5/4 L
Jadi, jarak celah ke layar harus dijadikan 5/4 L (C).
Perdalam materi ini di Pembahasan Fisika UN: Gelombang Cahaya.
Soal No. 22 tentang Alat-alat Optik

Sebuah mobil mula-mula berada pada jarak 4 m di depan cermin cembung tersebut, kemudian mobil bergerak menjauhi cermin sehingga jaraknya menjadi 6 m. Jika jari-jari kelengkungan cermin 24 m maka perbandingan jarak bayangan mula-mula dengan jarak bayangan setelah mobil menjauh adalah ….
A. 1/4
B. 1/2
C. 3/4
D. 5/4
E. 5/2
Pembahasan
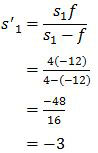
Jarak fokus sama dengan setengah dari jari-jari kelengkungan cermin. Untuk cermin cembung, jarak fokusnya bernilai negatif.
f = −½ × 24
= −12
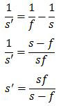
Rumus umum jarak bayangan cermin bila disederhanakan akan menjadi:

Ok, mari kita kerjakan! Mula-mula mobil berjarak 4 m di depan cermin cembung.

Kemudian mobil bergerak menjauhi cermin sehingga jaraknya menjadi 6 cm.

Perbandingan bayang sebelum dan sesudah menjauh adalah:

Jadi, perbandingan jarak bayangan mula-mula dengan jarak bayangan setelah mobil menjauh adalah 3/4 (C).
Perdalam materi ini di Pembahasan Fisika UN: Alat-alat Optik.
Soal No. 23 tentang Kalor

Kalor yang dibutuhkan alkohol dari keadaan suhu 0 ℃ sampai mencapai suhu 78 ℃ dan seluruhnya telah berubah wujud adalah … (kalor jenis alkohol = 2.400 J/(kg.℃), kalor uap alkohol = 2,1 ∙ 105 J/kg).
A. 187,2 kJ
B. 210,2 kJ
C. 397,2 kJ
D. 450,2 kJ
E. 497,2 kJ

Pembahasan
Kalor yang dibutuhkan alkohol adalah kalor pemanasan (0 ℃ − 78 ℃, grafik miring) dan kalor perubahan wujud (pada 78 ℃, grafik mendatar).
Q = mc∆t + mL
= 1 ∙ 2400 ∙ 78 + 1 ∙ 2,1 ∙ 105 J
= (187200 + 210000) J
= 397200 J
= 397,2 kJ
Jadi, kalor yang dibutuhkan alkohol dari keadaan suhu 0 ℃ sampai mencapai suhu 78 ℃ adalah 397,2 kJ (C).
Perdalam materi ini di Pembahasan Fisika UN: Kalor.
Soal No. 24 tentang Kalor [asas Black]
Pernyataan yang benar tentang kondisi es sekarang adalah … (kalor jenis es = 2.100 J/(kg.℃), kalor jenis air = 4.200 J/(kg.℃), kalor lebur es = 336.000 J/kg).
A. es masih tersisa 50 gram
B. tidak ada es mencair
C. seluruh es telah mencair
D. setengah bagian es mencair
E. es mash tersisa 10 gram
Pembahasan
Soal di atas berhubungan dengan asas Black yang berbunyi,
“Jika dua benda yang berbeda suhu dicampurkan maka benda yang panas akan melepas kalor sedangkan benda dingin akan menerima kalor hingga tercapai keseimbangan termal”.
Perhatikan grafik berikut!

Pertama, es menyerap kalor untuk menaikkan suhunya sampai 0 ℃ sebesar Q1.
Q1 = me ce ∆te
= 0,1 ∙ 2100 ∙ 10 J
= 2100 J
Sisa kalor yang masih ada digunakan untuk mengubah wujud dari padat menjadi cair.
Q2 = me L
= me ∙ 336000
= 336000me
Dalam hal ini massa es tidak perlu dimasukkan rumus karena belum tentu semua es mencair.
Di lain pihak, air melepas panas sampai tercapai suhu 0 ℃.
Q3 = ma ca ∆ta
= 0,19048 ∙ 4200 ∙ 50
= 40000,8 J
Sesuai asas Black, kalor yang diserap sama dengan kalor yang dilepas.
Qserap = Qlepas
Q1 + Q2 = Q3
2100 + 336000me = 40000,8
336000me = 37900,8
me = 0,1128 kg
= 112,8 gram
Ternyata massa es yang mencair adalah 112,8 gram, padahal es yang dicampurkan hanya 100 gram. Hal ini berarti bahwa seluruh es telah mencair.
Jadi, pernyataan yang benar adalah opsi (C).
Perdalam materi ini di Pembahasan Fisika UN: Kalor.
Soal No. 25 tentang Kalor [perpindahan panas]

Pembahasan
Perpindahan panas secara konduksi dirumuskan sebagai:

Artinya, perpindahan panas secara konduksi sebanding dengan konduktivitas k dan berbanding terbalik dengan ketebalan L.
Ok, mari kita tentukan perbandingan k/L!

Semakin kecil nilai k/L, semakin sulit panas merambat ke bagian dalam mobil.
Jadi, jenis kaca yang tepat dipilih Amir adalah kaca jenis II (B).
Perdalam materi ini di Pembahasan Fisika UN: Kalor.
Simak Pembahasan Soal Fisika UN 2019 selengkapnya.
Dapatkan pembahasan soal dalam file pdf di sini.
Terimakasih
Semoga Bermanfaat