Baiklah teman-teman.. kita akan membahas soal selanjutnya Teknik perbanyakan tanaman hias ada banyak sekali, salah satunya adalah memperbanyak dengan teknik […]
Category: Pendidikan
Perhatikan tanaman berikut! Gambar di atas termasuk jenis tanaman hias
Baiklah teman-teman.. kita akan membahas soal selanjutnya Perhatikan tanaman berikut! Gambar di atas termasuk jenis tanaman hias …. […]
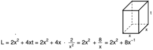
Volume air dalam sebuah kolam renang berbentuk balok dalam tanah bisa dinyatakan dengan V(x) = x3
Baiklah teman-teman.. kita akan membahas soal selanjutnya Volume air dalam sebuah kolam renang berbentuk balok dalam tanah bisa dinyatakan dengan […]
Rangkuman, Contoh Soal Past Perfect Continuous & Pembahasannya
Untuk Pembelajaran selanjutnya… Tense ini tergolong kedalam ragam perfektif (has/have/had) yang dituangkan dalam bentuk continuous (verb-ing). Past perfect continuous digunakan […]
Rangkuman, Contoh Soal Past Perfect Tense & Pembahasannya
Untuk Pembelajaran selanjutnya… Past perfect tense adalah kelompok aturan waktu dalam bahasa Inggris yang menggunakan kaidah perfect (menggunakan auxiliary have/has) […]
Mengapa mulut bisa berjamur
baiklah kita akan membahas soal berikutnya di bawah ini Mengapa mulut bisa berjamur? Jawab: Mulut bisa berjamur biasanya disebabkan oleh […]
Suatu pembangunan proyek gedung sekolah dapat diselesaikan dalam x hari dengan biaya proyek per hari
Baiklah teman-teman.. kita akan membahas soal selanjutnya Suatu pembangunan proyek gedung sekolah dapat diselesaikan dalam x hari dengan biaya proyek […]
Turunan pertama dari fungsi yan dinyatakan dengan f(x) = x2 + 2x – 1 / x + 3 adalah f’(x) =
Baiklah teman-teman.. kita akan membahas soal selanjutnya Turunan pertama dari fungsi yan dinyatakan dengan f(x) = x2 + 2x – 1 […]
Diketahui f(x) = √x3 – 8, maka f’(x) =
Baiklah teman-teman.. kita akan membahas soal selanjutnya Diketahui f(x) = √x3 – 8, maka f’(x) = …. Pembahasan: Pertama-tama kita rubah […]
Sebuah kotak dengan alas persegi dirancang agar volumenya 2 liter. Jika biaya pembuatan bidang alas dan
Baiklah teman-teman.. kita akan membahas soal selanjutnya Sebuah kotak dengan alas persegi dirancang agar volumenya 2 liter. Jika biaya pembuatan […]







